de Corrado Malanga.
A la fi del nostre recorregut de recerca, que parteix de l'observació del comportament extraterrestre cap a la raça humana i finalitza amb la temptativa d'aconseguir una metodologia que faci adquirir l'home consciència de si mateix, hem recorregut moltes etapes i aconseguit diferents objectius. Al principi de la recerca, pensem que l'extraterrestre era l'altre, l'enemic, el que ve de fora, que és diferent.
Ens hem adonat després d'un temps, que l'extraterrestre no és ni bo ni dolent, sinó senzillament el que feien els seus interessos en un món dual, en què la idea de dualitat encara existia però havia quedat relativa a la seva posició. En altres paraules, per a nosaltres, l'extraterrestre va ser el dolent però, per l'extraterrestre, vam ser nosaltres els dolents.
Una tercera etapa del nostre camí va ser caracteritzada per la idea que no hi ha cap separació però ella prendrà forma només en relació a la consciència que nosaltres mateixos tinguéssim de la idea de barrera. En altres paraules, si jo crec que el sistema en què viu és dual es mostrarà a mi com a tal, però si jo comprenc que no existeixen les barreres i les separacions, llavors elles s'esvairan.
El sistema físic en el qual hem baixat, en efecte es manifesta segons el coneixement que nosaltres mateixos tinguem del sistema. En la realitat virtual no local, expressada per la física quàntica de Bohm, nosaltres som inserits en un context totalment virtual, que nosaltres mateixos creem; però si nosaltres mateixos som els creadors d'aquest univers virtual, és obvi que això se'ns apareixerà com nosaltres creiem que ho hem fet.
A aquest punt de la nostra recerca, vam estar convençuts que no havien més barreres i, dins d'aquesta virtualitat, les barreres desaparèixer davant dels nostres ulls. Doncs l'extraterrestre no va ser altre que el mirall de nosaltres mateixos.
Si nosaltres som els creadors d'aquest univers virtual i canviant segons les nostres mateixes exigències, nosaltres mateixos, vam crear les situacions en què els extraterrestres van venir i van interferir amb nosaltres. L'elecció d'acceptar aquesta interferència ser doncs la nostra, encara que nosaltres vam ser aparentment inconscients d'haver creat aquesta situació. En altres paraules nosaltres vam crear l'oportunitat d'haver estat interferits pel extraterrestre perquè en aquesta oportunitat donem la possibilitat a la nostra consciència de fer una experiència i d'adquirir consciència de si mateixa.
En efecte l'extraterrestre serveix a nosaltres com un mirall de nosaltres mateixos i del nostre problema.
L'extraterrestre va servir per fer prendre consciència de la nostra realitat d'Alma, Ment i Esperit : va servir per fer comprendre que nosaltres som els creadors i fer-nos recordar qui som i perquè estem aquí. De la mateixa manera nosaltres servim l'extraterrestre com a reflex d'ells mateixos. Nosaltres li recordem cada dia a l'extraterrestre que ell s'equivoca en el seu recorregut d'evolució, volent prendre la nostra experiència i no volent afrontar la seva. L'extraterrestre vol creixement i futur complet, usant l'experiència d'altres, per por de patir, en ser ell qui faci l'experiència en primera persona, davant la situació mateixa, que li sembla insuportable i dolorosa. L'extraterrestre no comprèn i lluita des de fa milers d'anys, contra la nostra resistència a deixar-nos usar per ell, i que al final, es veu obligat a admetre la derrota. En l'instant en què nosaltres comprenem que ens ha servit l'extraterrestre, vet aquí que ell comprèn que s'ha equivocat el seu recorregut. Els dos esdeveniments tenen lloc en un únic moment ja que, en la virtualitat de Bohm, l'univers no local, preveu que el temps no existeix.
En un univers en què el temps no existeix, no hi ha separació entre causa i efecte, que es tornen la mateixa cosa ja que són superposats.
El fenomen físic ja no és mesurat per les màquines sinó per l'operador, que està després de les màquines i sobretot mesurat per la mateixa consciència, que pren consciència del fenomen que el mateix està creant. Experiments de termodinàmica quàntica, ensenyen com els resultats de les instrumentacions de mesura, es modifiquen substancialment si l'experiment és fet en presència o en absència d'un observador.
La dualitat entre ona i partícula és destruïda en l'instant en què es demostra que una partícula subatòmica com un fotó, pot aparèixer com a ona o partícula senzillament perquè en el primer cas no manifesta consciència del seu ésser, encara que sàpiga que ella existeix. En el segon cas en canvi la partícula és per a l'observador perfectament identificada, és a dir té completa consciència.
Els experiments de física, el resultats són difícilment criticables, vénen tan reinterpretats sobre la base que fa servir l'observador, com a instrument més o menys fi, la seva mateixa consciència.
Així, si jo no tinc consciència del fenomen, qualsevol que aquest sigui, aquest es presentarà com un fenomen ondulatori la forma es posarà en relació a la probabilitat que jo pugui comprendre com està fet. Quan l'ona esfèrica, que representa la probabilitat d'identificació, passa a ser cada vegada més petita, fins tornar-se un punt, la probabilitat d'identificar el fenomen amb claredat, augmentarà. En altres paraules, jo puc creure que un fotó sigui mesurable en l'espai, en el temps i en l'energia, només si aquest m'afectés, és a dir, si interferís amb la meva consciència. Altrament la meva consciència, serà conscient de l'existència del fotó però no sabrà localitzar-lo en la virtualitat i això em apareixerà com una propagació d'ones en tot l'espai-temps.
En els nostres estudis, vam crear una simulació mental, en el qual les persones sotmeses a la prova, s'imaginaven en un espai en el qual invocaven la presència de tres esferes de colors, que representaven ideicamente la part de l'ànima, la mental i l'espiritual. En efectuar milers de proves amb diferents persones, ens vam adonar que tots assignaven els colors i les posicions a aquestes tres esferes, basant simples operacions de simetria mental i ens adonem que els colors assignats a les tres entitats que formaven la tríada, van seguir les regles precises que van poder ser racionalitzades sobre la base de múltiples observacions fetes.
Un subjecte en equilibri amb ell mateix, va usar colors com el blau, el verd i el vermell per indicar respectivament ànima, Ment i Esperit. Les tres esferes de la tríada es comportaven com a objectes acolorits en qüestió. Si ment era verd, llavors absorbida en el blau i en el vermell però no en el verd. L'estudi de la programació neurolingüística ens va permetre comprendre com l'ésser humà viu en un espai tridimensional, just a la realitat virtual hologràfica de l'univers quàntic de Bohm, que tenia la característica d'utilitzar tres eixos, que divideixen l'espai en vuit octants. Existia l'eix endavant-enrera, vinculat arquetípicament a l'espai, l'eix dreta-esquerra vinculat arquetípicament al temps i l'eix alt-baix vinculat arquetípicament a l'energia.
En termes simples, l'ésser humà es veia i se informava amb el món "extern" per l'anàlisi inconscient de la posició i el moviment, (l'estudi dels trajectes), dels objectes al voltant de si mateix.
Encara que, com tots els subjectes sotmesos al TCT estàtic, van tenir una percepció interior de l'univers idèntica, va ser evident que aquesta representació es basava en la idea arquetípica de l'univers mateix. En aquest context, el que semblava ser la geometria, operacions geomètriques que es van dur a terme dins de la simulació mental, van ser estrictament relacionades a les regles de simetria, segons la qual, totes les operacions realitzades semblaven tenir un sentit si se'ls vincula a tres operadors de simetria que es van identificar en la translació, en la rotació i en el canvi de dimensió. Aquests tres operadors geomètrics eren juntament amb creadors de centres d'inversió (alguna cosa que s'assembla als plans de simetria) i el tot estava acompanyat per simetria color.
La simetria color va ser aquella particular simetria que considera l'univers vinculat a 6 colors fonamentals: el blau, el verd i el vermell, amb els corresponents anticolores: el groc, el cian i el magenta. La simetria color, SC, va considerar el color com la imatge especular del anticolor. D'aquestes observacions experimentals, sobre base estadística, es va deduir que el cervell humà vivia inconscientment com en l'espai de la seva existència, un lloc fet per vuit octants que van definir l'espai, el temps i l'energia com a únics maons de tota la virtualitat.
L'octant de la nostra existència va ser caracteritzat per semieixos portadors de color blau, verd i vermell. A més els subjectes semblaven indicar, en les seves simulacions mentals, que l'eix blau havia de ser associat amb el temps, el verd a l'energia potencial i al vermell a l'espai.
La divisió geomètrica i acolorida ser doncs un criteri general en què l'home va trobar una representació del temps, l'energia i l'espai és a dir de la realitat virtual en què va ser submergit inconscientment.
En el moment en què se li deia al subjecte d'imaginar l'espai mental, ell va reproduir, amb totes les normes de simetria vistes anteriorment, una habitació mental amb les mateixes característiques, representativa dels vuit octants.
El nostre cervell, d'alguna manera, reprodueix una visió de l'univers virtual, construïda per números simbòlics com el 8 i el 7, que trobem també però en altres representacions simbòlica idéicas que l'home mateix va atribuir a la virtualitat, ja que la virtualitat creada el forma artificial per nosaltres mateixos, sota forma fractálica, no local, estava clar que l'aspecte repetitiu havia, per les construccions més grans a les més petites, estar ben visible.
La nostra capacitat visual a simular l'univers en 8 octants i 7 nivells energètics, (Veure Gènesi, del mateix autor Y. Espai Interior, Roma 2013), havia de posar-se en relació al fet que les notes musicals són 7 però dividides en 8/8 o que els electrons en els àtoms estan dividits en 7 nivells energètics i dividits en 8 grups fonamentals.
En altres paraules inconscientment l'home categoritzava la virtualitat amb les mateixes regles que, ell mateix, d'inconscient creador, va establir.
No sent conscient d'aquest procés espontani i inconscient, la ciència, hauria pogut donar suport que aquests nombres obeïen simplement a l'observació externa de la naturalesa i no per un impuls interior. En altres paraules, si la nostra visió de les coses havia estat correcta, és a dir si nosaltres fóssim els creadors de l'univers i les lleis de la virtualitat, basades únicament sobre la geometria i sobre la simetria, hauríem hagut de sustentar que el mètode científic galileiano, que preveu com primer punt l'observació física d'un fenomen extern a nosaltres, està equivocat.
L'enfocament correcte hauria estat en canvi ell oposat: Galileu no hauria observat un fenomen extern a ell, sinó l'hauria reconstruït en el seu cap per estudiar-lo, després també en laboratori, però sempre hauria tingut dins de si mateix, inconscientment tot el fenomen físic, ja que ell és el creador de tot.
En algun instant el Galileu que està en nosaltres hauria espontàniament reconegut en el fenomen extern o cregut tal, cosa que va tenir sempre dins d'un mateix.
Aquest reconeixement inconscient hauria creat l'interès per l'observació del fenomen mateix, intentant portar a un nivell de consciència al fenomen mateix. Es hauria construït després la llei matemàtica que va descriure aquella part de la virtualitat.
El fenomen que la ciència observa, no neix de l'observació de l'exterior però podria sorgir del reconeixement que, el que veiem dins nostre, l'hem creat fora, on el fora i el dins, no són en realitat dos termes obsolets indicant una barrera no existenten, en quant la dualitat no existeix a menys que nosaltres creguem que ella existeix. Abans d'introduir-nos en la demostració del que proposem cal subratllar bé que aquest tipus d'enfocament representaria una revolució del model científic com a evolució del pensament platònic, aristotèlic i galileiano. D'altra banda representaria la revolució de la visió o la percepció del concepte d'univers, de l'ésser humà, de la creació, de la absència de dualitat, de principi d'acció reacció, d'absència de divisió entre odi i amor, rics i pobres, on les religions serien escombrades en un sol instant com els partits polítics, les formes de govern, etc.
El món de les partícules subatòmiques és força complex tal com ho tenen fins avui, "sap el tot" descriuria als físics atòmics. El nostre desafiament va ser demostrar que tot aquest món ja està, implementat en la nostra ment i no hi ha necessitat d'efectuar càlculs per esbrinar l'existència. En altres paraules si l'univers és virtual, no hi ha cap mesura d'efectuar perquè no hi ha cap cosa per mesurar ja que tot és hologràfic i canviant, segons la voluntat de la consciència. Tal variabilitat és ben visible i evidenciable en un model mental comú en tots els éssers d'aquest univers. El model mental descriptiu de l'univers pot ser extrapolat per la simulació mental aquesta TCT o tríada color test, que sobre la base de lleis de simetria de l'espai dels colors arquetípic de Pulver i Lusher, transcriuen d'això les regles de comportament.
En altres paraules, dins del TCT, han de evidenciar les regles que descriuen el tot i en el tot també hi ha el món de la física subatòmica. Veiem ràpidament ara com està, constituït el parc de les partícules subatòmiques fins avui evidenciades i que regles de vida tenen. Els científics sostenen avui que existeixen fonamentalment dos tipus de partícules subatòmiques: les fonamentals són els Leptons i les partícules més complexes són els Hadrons.
| Nom | Càrrega Elèctrica | Massa ( GeV/c2 ) |
| Electrons | -1 | 0,000511 |
| Neutrino electrònic | 0 | < 2,2 . 10-10 |
| Muons | -1 | 0,1056 |
| Neutrino muònic | 0 | < 1,7 . 10-4 |
| Tauones | -1 | 1777 |
| Neutrino tau | 0 | < 0,0155 |
Els leptons, sent partícules elementals, no semblen dividir encara més en altres subparts o, almenys de moment, la física no és capaç de veure subextructuras més petites, que componen els leptons. Els leptons són Fermions caracteritzats per spin no sencer. El spin és una característica de totes les partícules subatòmiques i pot representar-se amb un grau de llibertat detectable d'una rotació al voltant d'un eix, amb una adequada inclinació. El spin més té un senyal positiva o negativa que és segons si la rotació és horària o antihorària. En aquest context el spin és identificable com una operació geomètrica (rotació) amb adequada simetria.
La idea que les partícules subatòmiques giraran al voltant d'un eix, és considerada per altres físics, como Dirac una mera il·lusió, ja que les partícules subatòmiques són puntiformes i no justifica fàcilment una massa corresponent. Segons el model de Higgs, comunament aprovat, a més s'entén, amb dificultat, com un objecte puntiforme pugui mostrar una rotació. En aquell context, els molts valors de spin, s'identifiquen com a estats degenerats d'energia. Una cosa realment complicada, que en el món ideico i simbòlic de la sola geometria no té cap sentit (nda).
Una altra partícula fonamental és el fotó que no obstant això es considera un Bosó, és a dir una partícula subatòmica fonamental, amb valors de spin inclosos entre -1,0,1. En realitat el valor de spin igual a 0 no és considerat per la física perquè el seu sentit només seria vàlid si el fotó no es mogués i, com es creu, el fotó només va a la velocitat de la llum; un fotó fix no existeix, o millor dit ningú ho té gairebé mai vist:
http://www.lescienze.it/news/2003/03/28/news/rallentare_la_luce-588333/
Substancialment seria corregit dir que el fotó fix no es manifesta com a tal.
Una altra classe de partícules subatòmiques són els Hadrons. Els Hadrons no són partícules elementals però constituïdes per Quarks. Els Hadrons es divideixen en subclasses: els Barions, que són constituïts per tres Quark i els Mesons que són constituïts per només dos Quark. Mentre els Barions són Fermions, els Mesons són Bosons.
Els Quarks són 6 amb altres 6 que són els corresponents Antiquarks, que veurem més endavant. Els Mesons són una multitud. Finalment estan els gluons que serien 8 encara que per problemes de simetria haurien de ser nou.
La teoria (hi ha diferents), que prenem com a punt de referència és la cromodinàmica quàntica (QCD). En aquesta teoria, les partícules subatòmiques es caracteritzen pel antiquark i Quark. El Quark és un objecte que al seu torn ha de ser indivisible i seria identificable per les característiques geomètriques de simetria exacta.
| Nom | Càrrega Elèctrica | Massa ( MeV/c2) |
| Up (u) | +2/3 | de 1,5 a 3,3 |
| Down (d) | -1/3 | de 3,5 a 6 |
| Strange / Sideways (s) | -1/3 | de 80 a 130 |
| Charm / Centre (c) | +2/3 | de 1150 a 1350 |
| Bottom / Bellesa (b) | -1/3 | de 4100 a 4400 |
| Top / Truth (t) | +2/3 | 173100 ± 1300 |
Els noms dels Quarks són convencionals però poden ser identificats con oportuns atributs de naturalesa purament simètrica geomètrica.
Per exemple un protó està, fet per tres Quarks : dos Quarks up i un Quark down, (veure taula). Ara cal saber que no poden coexistir tres Fermions en el mateix estat 0, 1. En realitat el valor de spin igual a 0 no és considerat per la física perquè el seu sentit només seria vàlid si el fotó no es mogués i, com es creu , el fotó només va a la velocitat de la llum; un fotó fix no existeix, o millor dit ningú ho té gairebé mai vist: energètic i doncs no podrien haver-hi tres Quarks al mateix nivell energètic, (principi d'exclusió de l'Pauli). Va ser doncs necessari per als físics, diferenciar els tres Quarks i algú ha cregut inventar, de la nit al dia, que els Quarks van poder ser caracteritzats per un hipotètic color o anticolor.
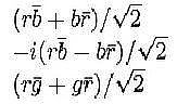
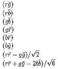
L'elaboració del QCD, iniciada als anys cinquanta, ha estat completada en la seva forma actual en els primers anys setanta per Frank Wilczek i David Gross. Els colors dels Quark no tenen res a veure amb els reals colors però són com etiquetes que tenen dins seu, un cop més, instruccions geomètriques simètriques. En efecte als tres colors fonamentals blau, vermell i verd s'oposen els tres anticolores groc, cian i magenta.
En el protó doncs els tres Quarks tenen tres colors diferents i són un blau, un vermell i l'altre verd, mentre en el corresponent antiprotó ells serien cian, groc i magenta. Ha de ser subratllat com el protó no apareix en el QCD acolorit perquè la suma vectorial dels tres colors no és un color. En la representació bidimensional del paper dels colors, la suma dels vectors color, en tres dimensions, sembla correspondre a canvi al producte vectorial del mateix vector color.

Recordant que els colors dels Quark no tenen res a veure amb els colors percebuts per l'ull humà, de l'escala cromàtica, però són expressions de propietats geomètriques, s'ha de subratllar com en aquest cas, la suma de tres estímuls percebuda pel ull humà com el blau, el vermell i el verd, donarà com a resultat cromàtic el blanc però si els tres estímuls són sumats "ascendent" en una única freqüència color, ella serà percebuda per l'ull humà com cap color, el transparent.
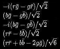
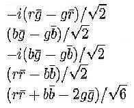
Hi després els gluons que són considerats objectes, no encara més divisibles, però que contenen les informacions de dos colors, és a dir d'un color i d'un anticolor, així de resultar acolorits però capaç d'interaccionar entre els Quark d'un mateix barió, desplaçant els colors dels tres Quark que el componen, a rotació, en continuïtat. En altres paraules els gluons són objectes que, interaccionant amb els Quark, estableixen en això les interaccions entre ells relacionades amb la càrrega color. Els gluons tenen dos components de càrrega de color: un color i un anticolor. Nomenan RGB els components vermell, verd i blau, els gluons base possible són:
Una possible base de gluons és la següent (octet dels colors):




Una altra possible base escollida de gluons és:


Per tant hi ha en realitat sol 8 Gluons independents i no 9 com haurien de ser ja que els colors i els anticolores estan en tot 6, 3x3 = 9). Per raons de simetria bastant fosca, només existeixen 8 possibilitats.
Al final hi ha els Mesons que són constituïts en canvi per 2 Quark inseparables.
Els Mesons són Bosons, (és a dir tenen spin sencer), i al costat dels Barions, (que són compostos per tres Quark i Fermions), constitueixen el grup dels Hadrons. Els Mesons tenen característiques bastant àmplies d'estabilitat en el temps, de massa, de càrrega etc.
En tota aquesta bulla de partícules subatòmiques, els Gluons es distingeixen perquè, fins i tot tenint dins de si les informacions de 2 colors, semblen constituïts per una única peça indivisible, i (això sembla decididament incongruent (nda). A més els Gluons enganxats entre els Quark que, com hem vist, no poden existir aïllats.
La càrrega de color sempre es manté, per tant, quan un Quark emet o absorbeix un Gluó, el color del Quark ha de canviar, per conservar la càrrega. Per exemple, considerem un Quark vermell que es posa blau i un Gluó vermell / antiblau emet : el color "net" sempre és vermell. Els Quark dins d'un Hadró emeten i absorbeixen Gluons contínuament, així no és possible observar el color d'un Quark específic.

A l'interior d'un Hadró, però, el color dels Quark que s'intercanvien amb el Gluó canvia, però sempre i només de manera que en el sistema quedi de color neutral, és a dir sigui estable, i per tant, aquest sigui observable.
El Quark d'un Hadró és intercanviat frenèticament amb Gluons.
A això es refereixen els físics quan parlen de camp de força de color.
Si un dels Quark d'un Hadró és allunyat pels seus companys, el camp de força de color s'allarga per mantenir la unió.
D'aquesta manera creix la força del camp d'energia de color, i creix com més allunyats són els Quarks entre ells. Fins a cert punt, és més econòmic, des del punt de vista energètic, diu la física (nda) perquè el camp de força de color es divideix i allibera energia que es converteix en la massa de dos nous Quarks : Doncs, en lloc de començar amb el Hadró amb el camp "allargat", poden formar-se per força dos nous Hadrons i el camp de força pot "relaxar-se".

Un Quark no pot existir aïllat perquè ha de mantenir per força un camp de color amb altres Quark.
Està subratllat com l'energia es transforma en massa. Però el mecanisme amb què aquest procés passa no és comprès absolutament (també perquè si no existís la massa, tal aberració física no es podria contemplar).
Ara veurem com és possible aclarir aquest procés, pel model mental de la física, construït per les observacions tretes de la Tríade Color Test, una demostració inequívoca que la realitat està dins nostre i no hi ha cap necessitat de incòmodes models físics per explicar que és l'univers, en quant, un cop més, es dedueix que nosaltres som la creació i sabem exactament com funcionen les coses que nosaltres mateixos hem creat : només que en la major part dels casos no som conscients de tot això.
Les raons del confinament són d'alguna manera complicades; no hi ha cap demostració analítica que la cromodinàmica quàntica hagi de ser adjacent, però intuïtivament la confinació és deguda al fet que els gluons, intermediaris de la interacció tenen càrrega de color.
A més, quan dos Quark són separats, com succeeix en les col·lisions de l'accelerador de partícules, en algun punt és energèticament més avantatjosa la producció d'una parella Quark / antiquark del buit que permeten als Quark separar encara més.
Per tant, quan els Quark són produïts en acceleradors de partícules, en lloc de veure en els detectors els Quark individuals, els científics veuen "dolls" de diverses partícules neutrals des d'un punt de vista de la càrrega de color, (Mesons i Barions) , agrupades junts.
Aquest procés és anomenat Hadronización, fragmentació o trencament de cordó, i és un dels processos inclosos en la física de les partícules.


La nostra ment, veu l'univers com un objecte amb característiques ideico simbòliques, on l'única possibilitat descriptiva està representada per la geometria i les regles de simetria. No hi ha matemàtica ni física ni valors numèrics, només números identificats com a objectes simbòlics. Un univers fet de simetries i antisimetrías, sense unitat de mesura. El model proposat està lligat al sistema de la simulació mental ja que ve ideicamente representat per una imatge que es forma al cervell humà on espais i colors, sons i eixos cartesians són els mestres. El model que el nostre cervell els idealitza en l'enfocament mental, MSA (Enfoque de Simulación Mental), està caracteritzat per 8 octants que delimiten i caracteritzen les úniques 3 propietats del tot: espai, temps i energia potencial.
De la simulació d'aquests 3 aspectes, s'obté l'univers sencer.
L'octant caracteritzat pels semieixos blau, verd i vermell, és aquell on actualment la nostra consciència habita mentre, els altres 7 octants, són vinculats a presències d'altres criatures, tal com he posat en evidència en la Tríade Color Test estàtica (TCT).
Si bé és veritat que l'univers no és més que un holograma, no local i de naturalesa fractálica, està constituït per tots objectes que repeteixen la simetria de l'univers mateix.
El naixement d'això és interpretat per la nostra ment com una cosa que neix del no-res, on res conté el tot, fet "coses" i "anticosas" que, a nivell de simetria i antisimetria, s'anul·len recíprocament. Un cop més ens trobaríem davant una gènesi que mostra, al principi, no hi res perquè existeix el tot, (absència de dualitat).
Posteriorment del no-res neix una "cosa" i una "anticosa", que un cop més no són visibles per compensació interna de les seves característiques simètriques cromàtiques. Però de la reunió d'una "cosa" i una "anticosa" realitzades en forma geomètrica diferent, emprant els únics operadors geomètrics existents (rotació, translació, canvi de dimensió, creats i inclosos en el centre d'inversió), tota la resta passa a ser "evident" i constituirà la base de la realitat virtual. En termes gràfic simbòlic he aquí les 2 fases de la creació inicial:

Com es pot notar en aquesta reconstrucció gràfica, la res està constituïda en realitat per dos objectes que, com a característica, té l'absència d'un pla de simetria que determina el fet que ells siguin un la imatge mirall de l'altre i que aquests objectes o imatges miralls no siguin superposables entre elles.
El fet de no estar sobreposada, fa que la superposició dels colors i els anticolors garanteixi una total transparència, és a dir invisibilitat de l'objecte inicial. A aquest objecte inicial que correspon al concepte de buit / ple, hem decidit donar el nom simbòlic de Evideon, del grec Evideon, la idea que es manifesta en lo reial posant-se evident és a dir visible.
En l'article de Nicoletta Marini, titulat, la εναργεια o evidència en la traducció retòrica grega i llatina (http://www.loescher.it/mediaclassica), se sosté que ...
"En l'àmbit retòric, tant en els textos grecs com llatins, sobretot en l'estat imperial el concepte de εναργεια, definit com νποτνπωσιφ (Quint. Inst. 9.2.40-41), o διατπωσιφ (Plut. De gloria Athen. 347c). En el món llatí s'anomena evidència, però com a demostració, il·lustració, representació (Rhet. Her. 4,68; Quint. Inst. 6.2.32; 8.3.61ss. [Lausberg 1960, § 810, pp. 399 ss.]).
Amb εναργεια en els textos retòrics significa exposició representació visual detallada i precisa d'un objecte o una persona, una acció o esdeveniment. El terme deriva del prefix εν + l'adjectiu αργεια, que significa "clar", "blanc", "brillant", però al qual s'associa la idea de moviment. Aquesta doble referència de blancor i de velocitat és important per percebre els matisos de εναργεια, que per tant vol dir Illustration, evidència, però amb la qualitat de l'animació i l'evidència visual, gairebé una imatge en moviment, el que la distingeix de la simple σαΦηνεια (Manieri 1998, pp. 98-99). El terme està absent en Aristòtil, que empra l'adjectiu εναργηφ no en el sentit tècnic; però, la metàfora d'Aristòtil ενεργειαν en la que se aplica un tipo de visualización como la de εναργεια, ha creat confusió en diverses ocasions.
No se sap qui va a ser la primera codificació tècnica d'aquest concepte. Els erudits creuen que una contribució decisiva per a la seva sistematització va vindre dels filòsofs de l'època hel·lenística, per exemple estoics, epicuri i escèptics, per als quals εναργεια era la garantia de la veracitat de la percepció (Zanker 1981, pp. 308-309). A partir del S. II-I a.C. la paraula s'estendria en la retòrica i en la crítica literària, fins convertir-se, en Dionisio de Alicamasso, la primera virtut accessòria de l'estil a partir del S. I d.C. una de les virtuts εΦρασεωφ, pel que fa a la qualitat requerida per descriure tots dos esdeveniments reals que operen l'art.
En diversos testimonis antics, εναργεια s'entén com la capacitat (δγναμιφ la defineix Dionisio, com veurem) que permet a l'autor posar davant els ulls de l'audiència un succés o personatge, a través d'una representació detallada dels detalls i una representació amb certa mimètica del que està succeint".
Doncs en la filosofia grega la prestació del mite grec pot ser descrita hàbilment en una cosa que es caracteritza per tenir els següents atributs:
En aquesta definició ja existeix l'aspecte simbòlic de tot allò que la nostra ment ha creat.
Durant l'anàlisi de les dades serà encara més fàcil adonar que les dues entitats esmentades "cosa" i "anticosa" no són altra cosa que "la idea" del fotó i el antifotó. En altres paraules la física diu fotó un objecte puntual sense massa, que té la característica d'anar a la velocitat de la llum: un objecte bosónico de spin igual que assumeix els valors de Spin, 1 i 0.
En realitat el fotó només assumeix valors de Spin igual a 1 perquè el valor 0 és vinculat al fet que el fotó hauria de ser sòlid. Cal recordar que en el nostre MSA, el temps i l'espai no existeixen i per tant no existeix la velocitat com a relació entre espai i temps, sinó la idea, errònia, que les coses es mouen. En aquest context el fotó que no es mou, ha de posseir Spin igual a zero.
També cal assenyalar com el antifotón, per a la física contemporània, (normes de simetria CPT , veure Apèndix), és simètricament superposable al fotó i no és la seva imatge mirall. Es tracta d'una absurditat física més que metafísica ja que les simetries de l'univers han de ser respectades i si és vàlida la idea bàsica que l'Evideon és la res es fa evident, vet aquí que estaria constituït simètricament per dues entitats : una la imatge mirall de l'altra, ja que l'energia del sistema ha de quedar constant; està vinculada a les variacions de simetria total que, per a un sistema tancat com l'univers, no estan permeses.
Per a alguns físics en canvi no existeix tampoc el fotó i apareix una greu mal interpretació considerar-lo una partícula sinó que ha de ser considerat senzillament com "radiació", WE Lamb, Jr., Anti-fotó, Appl.Phys. B 60, 77-84 (1995).
No obstant això cal també subratllar que el antifotó és postulat per molts físics i els treballs que tenen en compte, a nivell científic, són notables, com només ensenya la llista parcial, d'aquells més moderns, que anomenem a continuació. Cal subratllar que, per a la física, només existeixen les antipartícules que posseeixen càrrega. Si les partícules no tenen càrrega elèctrica elles no tenen antipartícula, així el fotó o els Gluons no haurien de tenir antipartícules encara que posseeixin càrrega color. L'existència del antifotó produeix en conseqüència que també existeixin els antigluons ja que són construïts per una estructura interna excloïble no a priori.

Els Antigluons serien fonamentalment indistingibles dels Gluons, ja que són portadors de les mateixes informacions de color però interaccionarien amb els Quarks amb les mateixes regles de simetria, per donar productes amb característiques antisimètrica, amb respecte de les mateixes interaccions entre Quarks i Gluons .
En aquest article una prova de l'existència de l'Antigluó.
Antigluó també postejat aquí .
En altres paraules el antifotó podria ser representat per un fotó, que per a la física quàntica clàssica, a la velocitat de la llum, aniria enrere en el temps i és per aquest motiu que, tot i s'aconseguís en un accelerador de partícules, això desapareixeria de seguida fent elusiu a qualsevol tipus de detector avui conegut.
Cal posar en evidència el fet que hi ha moltes teories de física que tracten d'explicar una mica de la realitat virtual però cap d'elles aconsegueix explicar-ho tot, a causa de la complexitat no tant de l'univers sinó de la teoria de partida, que en el temps, ha patit nombrosos entrebancs, en un intent d'adaptar-se a les múltiples incoherències, tractant d'evitar plantejar-se la possibilitat que l'univers virtual no té massa. En aquest context i amb aquests prejudicis de base, els físics han intentat apedaçar una teoria que parteix de punts aparentment errats. Una de les condicions de partida, que podrien ser errònies per a la teoria, sembla ser la que insisteix en l'existència d'un hipotètic Bosó de Higgs (la partícula que transportaria la informació de massa).
La teoria de base del món de les partícules subatòmiques ha estat construïda per Higgs, el qual, en primer lloc, sosté que en la seva hipòtesi de treball, no s'aconsegueixi preveure la massa de les partícules que apareixen apuntar a ell. Sobre la base d'aquests requisits es construeix tota la resta, oblidant que, si tota la resta ha de romandre en peus, aquí una massa ha d'haver, ja que no es pot mesurar.
En aquest context es mouen les temptatives dels físics moderns de descobrir la força que hi hagi una partícula subatòmica, dita precisament Bosó de Higgs que, d'alguna manera, contingui les informacions de la massa. Admetre l'absència de massa seria dir com que s'ha d'admetre la inexistència de l'evidència de la mesura. Els físics, que basen tot sobre la idea que les coses només existeixen perquè poden ser mesures, considerarien aquest fet no tant un fracàs de la ciència, sinó l'abisme que llança l'home en la inconsistència de l'univers mateix. Nosaltres viuríem en el no res, seríem el fruit del somni d'un gegant dorment i no tindríem identitat pròpia.
El físic tindria por de perdre així la seva identitat. Tot i això, les temptatives de sustentar el vell enfocament, treballant sobre alguna variació que serveixi a això allargar l'agonia, els físics estan anant cada vegada més cap a una visió de l'univers basada essencialment i únicament sobre l'enfocament geomètric, vinculat a regles de simple simetria, que són òbviament l'enfocament ideico i simbòlic del cervell ancestral humà, que no obstant això aquí nosaltres emfatitzem. Luciano Boi, l'école des Hautes études en Sciences Socials, Centre de Matematicass (Paris), en un interessant article publicat sobre © Isonomia. Revista de filosofia ISSN 2037-4348 | febrer de 2012 | pàg. 1-37. Declara :
Tres grans problemes conceptuals, (es podria dir també metafísics), ens apareixen centrals en la física contemporània.
(1) . Un problema fonamental és el caràcter no local dels ens físics que caracteritzen les teories dels camps quàntics, i a més la naturalesa global de les estructures matemàtiques que modelen les propietats d'aquests mateixos ens.
(2) . Està després el problema de l'origen de l'univers i de com explicar la singularitat, física i topològica, inicial. Existeix avui no un sino una pluralitat de models cosmològics que han estat proposats per descriure l'origen del nostre univers i les lleis de la seva expansió espacial i evolució temporal.
(3) . Està per fi la qüestió important que fa la naturalesa i estructura de l'espai-temps; es tracta de comprendre si això és una realitat feta a priori o bé si emergeix de la dinàmica mateixa dels fenòmens físics, i de també entendre la influència que les oscil·lacions quàntiques puguin tenir sobre la geometria i la topologia de l'espai-temps.
Algunes reformulacions recents de les teories del camp quàntiques, i en particular les teories de la gravetat quàntica, ens porten a considerar dos possible nous escenaris de la física :
(a) . El caràcter emergent de l'espai-temps de la dinàmica inherent a una especificació de la teoria de camp quàntica,
(b) . La copresència de més estructures matemàtiques en una mateixa teoria física que descriu els fenòmens a les escales atòmiques i subatòmiques ...
En les últimes tres dècades la nostra concepció de l'espai i l'espai-temps s'ha enriquit notablement i ha conegut canvis profunds gràcies a la introducció d'un conjunt de noves estructures matemàtiques no puntuals, no lineals i no commutatives, que formen la que avui és anomenada geometria quàntica.
Aquestes estructures són el cor de les teories de gauge no-abeliane, que han aconseguit en l'intent d'unificar les partícules amb els camps i la geometria de l'espai-temps amb la dinàmica dels fenòmens físics per a la descripció i el modelatge de les interaccions fonamentals a través de certs grups de transformacions, grups d'elits compactes, i de les seves representacions. La construcció ampliada del model estàndard de la física, que engloba està en efecte completament basada en la idea de grup de simetria i espai amb connexió sobre la qual això actua.
Si en canvi, d'una banda, una semblança model descriu intensament i de manera coherent les interaccions físiques degudes a les tres forces fonamentals existents en naturalesa, de l'altre, això és incapaç d'explicar la força de gravitació i, per tant, d'englobar la relativitat general en una imatge unitària del món físic.
Doncs el nostre enfocament està basat sobre raons ideico simbòliques, (on la massa no apareix), és a dir geomètricament factible.
Si l'objecte que hem dibuixat abans, en tres dimensions, és una representació ideica del fotó, hem d'entendre que això és totalment invisible perquè la simetria dels colors de resposta res, en què és com dir que la imatge especular del blau és el groc tal com les imatges especulars dels colors són representades pels anticolores que, recordem-ho una vegada més, no tenen a veure amb els colors percebuts per l'ull humà, però són una manera que la ment té de vestir un concepte purament simbòlic . Doncs el fotó es posa visible si interacciona amb un altre fotó o amb un altre antifotó segons regles de simetria color i posició.
La idea que la llum estigui acolorida dependria de la direcció amb què el fotó, en l'espai-temps, afecta un objecte. D'un punt de vista filosòfic, el fet que un fotó no es vegi si no interacciona o millor actua sobre alguna cosa, està lligat al concepte que el només existeix si es manifesta mitjançant l'acció, concepte ja expressat abans en els nostres anteriors escrits.
Només hi ha tres formes en què aquests objectes (fotons i antifotons), poden interaccionar entre ells.
Per una interacció triple, és a dir, tres colors d'un fotó o antifotó s'agreguen amb els anticolores d'un altre objecte, constituint una interacció forta, que preveu que, l'objecte format, no sigui de fet divisible en els dos objectes que el componen , una interacció en dues, on els dos colors d'un fotó o antifotó s'agreguen als anticolores d'un altre objecte i per fi una interacció simple en què un sol color s'agrega a un sol anticolor d'un altre objecte.
Aquesta última interacció sembla la més feble i proveirà objectes amb vides mitjanes més curtes. És interessant notar que en aquesta última interacció, per exemple d'un fotó amb ell mateix, preveu que per cada color del primer objecte es puguin unir teòricament, amb estabilitats diferents, sis colors o anticolores d'un altre fotó però per cada interacció d'aquest tipus , hi ha quatre rotámeros voltant de la interacció simple que, de fet, indiquen 4 combinacions possibles, és a dir 4 objectes finals, geomètricament diferents.
En altres paraules existeixen 6x6x4 = 144 situacions diferents que, com veurem un moment, produeixen totes les possibilitats de descriure un objecte virtual. He aquí que és interessant assenyalar com la New Age clàssica, que s'obté a mans plenes del mite, sovint de manera incontrolada i incorrecta, sosté que l'univers és un holograma creat a partir de 144 hologrames base.
Existeixen 144 Hologramas / Fenotips que caracteritzen totes les espècies vivents de l'espai-temps. Cada forma espai-temporal, de l'quark a l'ésser humà, incorpora en si a partir del nivell 60, mil milions de partícules holograma que caracteritza de manera particular la seva forma. Aquests hologrames són incorporats per l'Esperit encarnat en una forma espai-temporal a diferència dels 18 hologramas / arquetips, (el nombre de les combinacions bariónicas)(nda) què són incorporats per la forma humana just per permetre a un Esperit individualitzat (Ànima) a baixar en la forma. A més mentre aquest últims concerneixen formes-pensament i per tant Ment i Amor, els Hologramas / Fenotips concerneixen les característiques fisiològiques de la forma espai-temporal en quant a tal.
Les interaccions a tres, dos i un color, posseeixen les mateixes característiques geomètriques de les unions moleculars triples, dobles i simples, amb la mateixa geometria espacial i no en la simetria. En altres paraules, una vegada més, com s'enllacen els àtoms entre ells s'unirian els fotons i els antifotons ja que el concepte d'univers fractal ha de ser respectat. (Stereoelectronic effects, tau bonds, and Cram s rule Claude I. Wintner J. Chem. Educ., 1987, 64 (7, p 587 DOI: 10.1021 / ed064p587: July1987).
Els leptons, com hem dit anteriorment, segons el model clàssic, són 6. En el sistema MSA els leptons estan formats per un fotó i un antifotó, només existeixen 6 possibilitats d'interacció doble entre aquestes dues entitats i podran ser representades com segueix.

Per poder graficar senzillament les partícules subatòmiques en el nostre enfocament (MSA), hem creat alguns fàcils simbolismes que remeten a l'estructura tridimensional en l'espai-temps-energia, sense necessitat d'haver de construir complexes estructures tridimensionals. En aquest context el fotó i la seva antipartícula per exemple, poden ser graficades de la següent manera. El model pres a prova és aquell resultant de la idea que la ment humana s'ha construït, dins si mateixa, de les simulacions mentals de l'univers, dividit en 8 octants color. Així doncs l'univers està fet com un fotó, això produeix maons idèntics i tot és fet amb aquest maó.

El leptó posseeix les següents característiques: té una interacció color doble, resulta una partícula fonamental i indivisible ja que si es dividís, formaria un fotó i un antifotó que, si al moment de la seva formació no interaccionen amb res, serien completament invisibles.
A més, el leptó està constituït per una informació color i una informació de anticolor i sent acolorit simètricament tenen carregat igual color a zero.
Havent, en el nostre exemple, l'eix "vertical" caracteritzat per repulsions M-M i V-V no els permet a les dos components construir una tercera forta interacció, emprant aquests nous colors, (cosa que en canvi com veurem, pot ocórrer en els gluons).
La naturalesa del leptó, constituïda per un fotó i un antifotó, per raons de simetria preveu que als 6 leptons base, correspongui 6 antileptons. Hi ha en efecte que subratllar com la parella fotó-antifotó, posseeix una imatge especular que representa la corresponent parella antifotó-fotó.
La propietat individual dels leptons semblen a causa del tipus d'eix "vertical", (eix de les energies potencial Magenta-Verd, espai Blau-Groc, temps Vermell-Cian). Recordem en aquest punt, que ideicamente la ment humana considera el model MSA unit a tres interaccions bàsiques que estan constituïdes pels colors verd magenta per l'energia, vermell cian per l'espai i blau groc pel temps.