de Corrado Malanga.
Traducido por Tantor Anima y colaboradores para Corrado Malanga fanclub en español.
En algunos trabajos precedentes (Evideon) demostramos como el Universo entero, podía describirse por un sistema de ejes cartesianos ortogonales entre ellos, que representaban : el espacio, el tiempo, y la energía potencial, caracterizados por reglas de simetría descriptibles sobre la base de los colores fundamentales y de aquellos complementarios. Tal descripción hacia que el Universo fuese un único objeto, llamado Evideon, súper simétrico y descriptor de la nada y del todo (Consciencia Primordial) que a través de operadores geométricos, tales como : la traslación, la rotación, el cambio de dimensiones, creaba todos los objetos del Universo virtual (es decir del Universo modificable).
Las correlaciones establecidas en dicha ocasión, daban un indicio de cómo en el modelo de Evideon estaba inmersa la estructura base de las partículas subatómicas, las informaciones en los operadores base de la matemática (adición, sustracción, multiplicación, división). Estaban comprendidas en el modelo, los principales valores de algunas constantes geométricas universales como la velocidad de la luz, en unidad de masa atómica, el valor de Pi griego y el valor de la sección aurea, eficazmente correlacionados entre ellos. Los valores asignados a estas constantes se calculaban sobre la base de 9 números que representaban 9 objetos base que, sucesivamente, se representaban por varios vectores, a los cuales se les asignaba el valor de los primeros 9 números (del 1 al 9 excluyendo al 0). Utilizando tales valores recabamos las frecuencias potenciales que tenían que ver con la expresión anímica, espiritual y mental. También verificamos como existen fuertes evidencias en la determinación de analogías con la frecuencia calculada al interior de los estudios del biorritmo.
Así pues, parecía que el sistema de ejes que describía el Evideon era del todo general y se podía utilizar para explicar cualquier aspecto de la vida virtual cotidiana. De esta manera, pensamos ampliar y verificar nuestro paradigma y demostrar que el sistema geométrico de Evideon explica probablemente bien cualquier aspecto de la realidad virtual, del mito, de la física moderna, de la psique.
Por geometría sagrada se entiende erróneamente, en modo decididamente restrictivo, aquella geometría con la cual se construyeron los templos de culto, en todos los templos y los lugares del mundo. Parece de hecho, que existen cánones, valores y simetría particular que han sido repetitivamente utilizados en la construcción de lugares de culto, independientemente del tipo de religiosidad que se desea perseguir.
https://it.wikipedia.org/wiki/Geometria_sacra.
En realidad, la geometría sagrada representa una serie de formas y por consecuencia de números representativos, que describen arquetípicamente el Universo virtual. Por lo tanto, esta geometría sería un conjunto de formas que resultarían en un simbolismo de naturaleza arquetípica y por lo tanto esencial, que cada uno de nosotros tiene inconscientemente dentro de sí. Tal conocimiento desconocido, produciría, en el curso de la historia del planeta, una serie de obras de arte caracterizadas siempre por los mismos contenidos, simplemente símbolos ideicos. Por esta razón, la misma medida, la misma forma, los mismos movimientos, los mismos fonemas, se encontrarán con el mismo significado arquetípico, en todas las culturas del planeta. Por eso, si son los arquetipos los generadores de esta geometría y arquitectura, tanto en la física como en la metafísica, esto significaría, nuevamente, que estos símbolos están dentro de nosotros y no afuera. Nosotros seríamos no sólo los custodios de tales estructuras sino los creadores del Universo virtual que se manifestaría siempre con las mismas formas, construyendo un Universo fractálico, arquetípico, simbólico, ideico, del todo virtual.
Si el origen del arquetipo fundamental está en el Evideon eso debe contener todos los arquetipos y todos los significados simbólicos que nosotros podemos encontrar en el Universo. Por ello en Evideon existiría la raíz de todo y Evideon se convertiría en un modelo general que explicaría cualquier aspecto del Universo. Veremos que las cosas pueden ser así.
Los Chakras (adaptación del sustantivo neutro sanscrito cakra, en escritura devanagari, traducido como "rueda", "disco", "llanta") es un concepto propio de las tradiciones religiosas de la india, inherente al yoga y a la medicina ayurvédica, teniendo origen en las tradiciones tántricas, ya sea del hinduismo o del budismo. En la ascensión más común es usualmente puesta también como "centro", para indicar los elementos del cuerpo sutil en los cuales se retiene y permanece latente la energía divina. En el Hatha Yoga los chakras son interpretados como etapas del camino "ascensional" (que en realidad es para nosotros discensional : N.d.A.) que Kundalini atraviesa por el cuerpo humano, una vez despertada gracias a prácticas y ritos oportunos. Hoy se prefiere llamar Kundalini Yoga al aspecto del Hatha Yoga que hace referencia principalmente a las prácticas interesadas por el kundalini, y por eso el papel y significado de los chakras. Los textos clásicos como la Gheranda Samhita, la Hathayogapradipka y la Siva Samhita; hacen referencia a numerosos Tántras de épocas anteriores. A medida que "aumenta" la Kundalini, veremos los chakras, por decirlo así, activados, dejando experimentar al adepto estados psicofísicos gradualmente diferentes.
https://it.wikipedia.org/wiki/Chakra.

Según el historiador de las religiones británicas Gavin Flood, el texto más antiguo en el que está descrito el sistema de los 6 chakras, el que actualmente está más difundido, es el Kubjikamata Tántra. Textos precedentes mencionan de hecho un número diferente de chakras diversa y diferentemente colocados en el cuerpo sutil. Es necesario subrayar como las diversas culturas identificaron en los chakras números, simbología y colores diferentes. Para Rudolph Stainer, por ejemplo, solo 4 chakras principales serían los identificados por la antigua tradición, a los cuales, sólo después, otros menores se añadieron. Cabe destacar por ejemplo como los 7 chakras tienen colores que se confunden con frecuencia. Los primeros 3 chakras, por ejemplo, confunden los colores del ciano al azul, al magenta que, tienen como base el azul, y se confunden entre ellos. El primer chakra, puesto en alto, en correspondencia con la glándula pineal, se identifica con el magenta, a veces el blanco y a veces sin color. Y no faltará el hecho de que exista un chakra al cual se le asigna el color naranja que es el único color no primario, no es puro pero es la suma de dos colores, el amarillo y el rojo.

Partiendo de la observación que no se sabe históricamente quien fue el primer inventor de la idea de los chakra, tratamos de verificar si al interior del sistema de la Triada de Color Test, exista, acaso, la información relativa a este aspecto en el antiguo yoga. En el mito no se puede escapar el hecho de que los llamados chakra están conectados en el cuerpo humano y están puestos en posición a lo largo del eje vertical, que es aquel que arquetípicamente simboliza la energía al interior del TCT. No olvidar tampoco, el hecho de que los colores de los chakra son 6 más un color atribuible al primer chakra, partiendo del hecho de que en realidad es un no-color. Y no olvidar que, para todo, los chakra principales son 7. El número 7 representa los planos existenciales a lo largo del eje de la energía según el antiguo mito indio y que según la idea de la física cuántica considera el universo energéticamente subdividido en niveles de energía cuantizada. Si el universo es de naturaleza fractálico y holográfico, debemos esperar que los niveles energéticos sean simplemente 7, así como en lo pequeño, así en lo grande. De hecho el aspecto fractálico del universo se entendería como que está basado esencialmente en 3 números que se repiten continuamente que son el 3, el 7 y el 8, debido a que existen 3 ejes que son : el espacio, tiempo y energía potencial. De esta manera tendremos 7 notas pero 8 octavas, tendremos 7 niveles energéticos cuantizados para el átomo de Borh pero 8 grupos de elementos en la tabla periódica de Mendeleev. Tendremos 7 niveles energéticos o 7 planos existenciales de energías cuantizadas y cada plano estaría caracterizado por los 8 octantes definidos al interior del modelo evideonico propuesto anteriormente. Si entonces, los 7 chakras pudieran ser descritos por el modelo evideonico se entendería que se refieren, de algún modo, al cuerpo habitado en nuestra mente pero sobre planos diferentes.
En el modelo evideonico, de hecho, como el Alma se expande a lo largo del eje del tiempo y el espíritu a lo largo del eje del espacio, así la mente habitaría el eje de la energía. Ya que se tienen 7 niveles existenciales, la mente aquí tendría otros 7 "cuerpos" hipotéticos o lugares donde manifestarse. En este contexto los colores de los chakra deberían ser, y lo son, aquellos arquetípicos del la tríada de color test. Por otro lado, buscando en los significados simbólicos de los diferentes chakra, encontramos los fragmentos de la teoría que completa la estructura del Evideon. Analizando la secuencia propuesta en el yoga por los varios chakra, descubrimos que solo el más bajo, aquel que corresponde a nuestro plano existencial, de color rojo, estaría caracterizado por el diseño de un cuadrado que simboliza la Tierra, el mundo físico, sólido, inscripto con un triángulo con la punta hacia el eje, que a su vez simboliza el alma. Esta simbología nos recuerda que el alma se encarna sólo en el último nivel energético, es decir, el nuestro para terminar de hacer la experiencia de la vida y de la muerte. Este chakra está caracterizado por la presencia de 4 pétalos de la flor de loto para indicar los 4 elementos alquímicos que, sólo sobre este plano están presentes y que son : la tierra, el aire, el agua y el fuego. Este chakra, como era de esperar, tiene que ver con la sensualidad debido a que el acto sensual imita la fusión de 2 partes del dual : el femenino y el masculino, que unificándose en un ser andrógino, alcanzará el dual al Uno, terminando el camino de adquisición de la consciencia.
Recordemos aquí, que según el Evideon, el séptimo nivel es el único dotado de dualidad total, mientras los niveles superiores, son a la baja, siempre más polarizados pero donde el alma y espíritu no están todavía completamente divididos. A medida que la división se lleva a cabo, se completa la experiencia de la separación que la Consciencia inicial ha puesto en marcha para comprender el Todo. La Consciencia inicial, de hecho, tiene una única posibilidad de ser, determinada por la posibilidad de dividirse en 2 partes. Al hacer nacer la dualidad, la Consciencia primordial, estudiará y verificará, a través del acto, la experiencia misma, formando parte.
Al final la Consciencia inicial sabrá todo sobre la división, teniendo, por sí misma, todas las experiencias divisibles posibles. Por lo que ella sabrá perfectamente lo que es la división y podrá decir : "YO SOY LO CONTRARIO DE LA DIVISIóN. YO SOY LA UNIóN". Si analizamos, por otro lado, el primer chakra, a partir del más alto, se abrirá como el primer nivel universal donde no existe casi nada la división, donde el todo es casi uno. No es sorprendente que este chakra sea los miles de colores, es decir, de todos los colores a veces diseñado como blanco pero reportado erróneamente como el chakra de ningún color. Esta transparencia nos da el concepto de Consciencia integrada que tenemos en la triada de color test cuando los componentes anímico espiritual, mental, equivalentes al tiempo, espacio y energía potencial, donde existe solo unión y no separación. Los miles de colores con los mil pétalos de este chakra que identifica con el número 1000, la simbología del todo. Este primer chakra, partiendo de lo alto es blanco y por lo tanto no es transparente porque, por un lado representa la cosa más próxima a la Consciencia, es decir al Bramhan, eso es en el virtual y entonces visible y descriptible (representativo de un nivel energético casi no dual pero ya parcialmente dualizado correspondiente idealmente o simbólicamente al plano del Brahma).
Inmediatamente después de este chakra existe uno que es el símbolo del inicio de la marcada dualidad y que contiene todavía dentro de sí la idea del Brahma). No es sorprendente que este chakra posea sólo 2 pétalos. Por lo tanto, habiendo establecido que los chakra iniciales y terminales están perfectamente explicados con la visión evideonica del universo podríamos describir la tabla de los chakra subrayando como ellos representan al hombre como nosotros lo conocemos, en relación a su correspondiente esencia en los otros planos existenciales, de acuerdo con la tradición védica. En este contexto era posible ajustar, con conocimiento, los colores y los varios significados de los chakra reinterpretado en el tiempo de las diversas escuelas del pensamiento, unificándole en una visión evideonica del Todo.
| Chakra | Zona en el cuerpo | Colores de los pétalos | Gran elemento | Número de pétalos | Bijamantra |
![]() | Plexo coxis | Rojo | TIERRA | 4 | LAM |
![]() | Plexo sacro | Amarillo | FUEGO | 6 | VAM |
![]() | Plexo epigástrico | Verde | AGUA | 10 | RAM |
![]() | Plexo cardiaco | Cian | AIRE | 12 | YAM |
![]() | Plexo laríngeo | Azul | 16 | HAM | |
![]() | Plexo cavernoso | Magenta | 2 | OM | |
![]() | Parte superior cabeza | Blanco | 1000 | AUM |
Se debe observar cómo, los chakra, están asociados a los mantras, es decir, a los sonidos arquetípicos capaces de evocar las sensaciones correspondientes a la naturaleza de los propios chakra. En la tradición védica, se confunde muy a menudo, el sonido del OM y del AUM. Como ya hemos señalado en trabajos precedentes, el sonido AUM, parece compuesto por 3 sonidos precisos correspondientes a la frecuencia del alma, espíritu y mente, respectivamente. Tales sonidos, reproducidos en la simulación mental por auditivos de la Triada de Sonido Test (TST), producía la percepción de 3 esferas, cada uno con su sonido, que caracterizó la triada dividida. Las 3 esferas, cuando se unían, al inicio, producían los 3 sonidos que, en la mente del sujeto que se sometía al TST, aparecía como un acuerdo que después, tendía a fundirse, no daba lugar a ningún sonido, en analogía a lo que sucedía en el TCT con los colores. La consciencia de hecho y la no manifestación se confinaba en la realidad real. Por el contrario, el sonido el OM es un sonido doble propio del Brahma que da origen a la dualidad en la virtualidad. En esta correcta construcción del mundo de los chakra, el color anaranjado, que no es un color fundamental, se ha eliminado.
También era fundamental acordarse de que un preciso diseño de los chakra en el espacio vertical ponía, en una primera aproximación, a lo largo de la espina dorsal del hombre, de manera simbólica, pero los disponía también en dos filas donde las conexiones con la Sephiroth de la Sephira hebraica eran llamativas.

Anteriormente se demostraba y nuevamente, que los diversos simbolismos del árbol de la vida hebraico y védico tienen el mismo origen, para colocarse en el mito, ahora debemos demostrar que el mismo mito, siendo fruto de nuestra creación, es reconciliable con el modelo evideonico del universo. En otras palabras, en el interior de la construcción de los modelos del fotón y del antifotón descritos en EVIDEON, teníamos que descubrir los 7 niveles energéticos puestos en evidencia por los 7 chakra.

La triada de sonido test acoplado con la información color de la triada de color test nos daba la idea que el universo fuese, al menos para nuestro plano existencial, describible con un objeto en el cual el todo estuviese dividido en 8 octantes, caracterizados por simetría de color bien determinada. Si observamos el modelo propuesto con una adecuada inclinación poniendo el color rojo arriba, el cian abajo, tendremos sobre el plano la proyección del modelo fotónico que podremos describir en dos dimensiones espaciales. Sobre el plano el sistema tridimensional aparece como sigue :

Girando de derecha hacia abajo a partir del magenta, aquí se reproducen en el mismo orden de colores los chakra así como lo habíamos diseñado y como están previstos por la tradición védica, (con la variante en la exclusión del anaranjado que no es un color fundamental). Pero no uacute;nicamente : la simetría color prevista por el universo fotónico es aquella que describe los chakra en su totalidad. De hecho, si se parte de consideraciones que se sirven de EVIDEON para construir el espacio de los sonidos, debemos recordar que los valores de las frecuencias sonoras vinculadas a los correspondientes colores, se muestran en la siguiente figura.
Nos damos cuenta de que a partir del valor de 396 se llega al valor de 963 que pertenece a otro grupo de 8 octantes racionalmente conectados a los valores previstos por un nivel cuántico existencial superior. Realizando las operaciones correspondientes, se puede evidenciar como existen así 3 posibilidades de describir 3 niveles superiores y otras 3 posibilidades simétricas a las primeras 3 e isoenergéticas 2 a 2. En ese contexto eso significa que existen no 7 niveles energéticos puestos uno sobre el otro, sino un nivel energético original, donde no existe casi la división, correspondiente a la Sephira denominada Keter (La Corona) en la Kábbala hebraica, correspondiente a la Esencia del Brahma del mundo de los chakra. "En torno" a ella existen 2 grupos de 3 niveles energéticos, a 2 a 2, iso energéticos, debido a que poseen el eje de la energía potencial de la misma longitud.

En la Tabla enlistamos los valores de las frecuencias descriptivas de los diferentes niveles del Universo calculados mediante el modelo evideonico.
| ENERGIA | TIEMPO | ESPACIO | ENERGIA | TIEMPO | ESPACIO | |
| Nivel | Magenta | Azul | Cian | Verde | Amarillo | Rojo |
| 7 | 396 | 417 | 528 | 639 | 741 | 852 |
| 6 | 963 | 174 | 285 | 396 | 417 | 528 |
| 5 | 639 | 741 | 852 | 963 | 174 | 285 |
| 4 | 693 | 714 | 825 | 936 | 147 | 258 |
| 3 | 369 | 471 | 582 | 693 | 714 | 825 |
| 2 | 936 | 147 | 258 | 369 | 471 | 582 |
| 1 | 0 | 0 | 0 | 0 | 0 | 0 |
Los niveles 7-4, 6-3 y 5-2 son simétricamente especulares entre ellos (por ejemplo el grupo de vectores 3-9-6 tiene su imagen especular en 6-9-3), en otros planos 7, 6, 5 poseen características espacio temporales diferentes.
En la Tabla se reportan los valores determinados de las diferencias de los números que caracterizan los colores sobre un mismo eje para identificar la amplitud de los tres dominios dentro del mismo nivel de energía, lo que nos permite hacer comparaciones con las otras capas.
| Energía | Espacio | Tiempo | |
| 7 | -243 | 324 | -324 |
| 6 | 567 | 243 | -243 |
| 5 | -324 | -567 | 567 |
| 4 | -243 | -567 | 567 |
| 3 | -324 | 243 | -243 |
| 2 | 567 | 324 | -324 |
Obviamente para el antifotón existe una situación análoga, donde los 7 niveles poseen los valores relativos al eje de la energía invertida de signo, ya que el color magenta se cambia por el color verde : esto permite construir un antifotón que es imagen especular del fotón. Los signos positivo y negativo son convencionales y representan un parámetro de simetría de diferenciación del antifotón. Como se puede observar, dentro del sistema, la energía total siempre es cero debido a que 567-324-243=0 y sucede los mismo en el caso de la suma de los espacios y la suma de los tiempos, permanece, respectivamente, siempre igual a 0, lo que nos permite construir un universo que no cambia la simetría en el tiempo, ya que no cambia nunca su valor intrínseco de energía, lo que significará para los físicos que este tipo de universo es cerrado. En realidad el término cerrado no parece geométricamente adecuado al universo de Evideon, un término más apropiado podría ser Universo único, es decir, sin contacto con ningún otro externo, dado que el externo no es definido ni definible. La Consciencia primordial creativa representada como un punto sobre la nada, habría creado 7 niveles, y entre estos 6, de los cuales 2 de 2 isoeléctricos : de estos 2, por convención, "inferiores" (valores de energía negativa) y 1 más "superior" (valor de energía positiva), en el universo virtual. Nuestra existencia se debería colocar en uno de los niveles energéticos más inferiores. Tales niveles se grafican como segmentos en la sucesiva representación geométrica.

Como se puede notar, estos niveles energéticos se ponen en un espacio idéntico al correspondiente de la estructura de los chakra indios o de los sepheroth hebraicos, dando como resultado el modelo del Evideon ideicamente relacionado ya sea al Mito o a las reglas de simetría de la geometría prevista por el mismo modelo. Remarcando, dentro de la Merkaba babilona, de la cual deriva la Kabbala hebraica, existen algunas aproximaciones simbólicas los cuales se pueden asociar a los antiguos simbolismos del universo. Tales simbolismos, de los cuales reportamos 2 ejemplos notables, parecen definitivamente similares al gráfico tridimensional que obtenemos poniendo uno sobre el otro, en el espacio, en el tiempo y en la energía potencial, la figura tridimensional de las formas de todos los 7 niveles energéticos.

En realidad el modelo propuesto por Merkaba sugiere dos tetraedros que se entrecruzan entre ellos. Los tetraedros en la verdadera tradición merkabita serían 3 : de los cuales 1 cerrado al centro y los otros 2 sobrepuestos al primero que rota uno en sentido horario y el otro en sentido anti horario, este modelo por cierto, no se refiere, como se pensaría, a un modelos simbólico del Universo, sino a un modelo del ser humano, equipado con alma, mente y espíritu. Por el contrario, el modelo que se obtiene graficando los números de la tabla anterior, parece más similar al que se puede observar en un particular crop circle encontrado ya hace algunos años sobre los campos de grano ingleses (al lado derecho el modelo graficado con nuestros valores de la tabla del TST).

En el texto "La Estancia de Dzyan", llevado misteriosamente a la luz por la Blavatsky, se hace mención a cómo el universo virtual está construido a partir de un universo real constituido sólo por Uno Fundamental en estado latente, es decir, no hacedor, y por lo tanto no existente. Algunas frases hacen clara referencia al modelo que nosotros propusimos donde el único ladrillo que sirve para construir el universo parece ser el fotón, es decir la luz y la única regla existente parece ser la geometría euclidiana con las reglas de su simetría.
"El Dzyu (aquello que nosotros llamamos EVIDEON, N.d.A) se convierte en Fohat (aquello que nosotros llamamos FOTóN, N.d.A) : el rápido hijo de los hijos de Dios, cuyos hijos son los Lipika (aquellas cosas que nosotros llamamos ADRONES, N.d.A), corre haciendo tareas circulares. Fohat es el corcel, el pensador y el caballero. él pasa como un rayo a través de las nubes de fuego; él hace tres y cinco y siete pases a través de las siete regiones superiores y las siete inferiores. él levanta su voz y llama a las innumerables chispas y las une.
Él es el espíritu que las guía y las dirige. Cuando comienza a trabajar separa las chispas del reino inferior que flotan y llenan de alegría sus moradas radiantes y forman los gérmenes de las ruedas. Las sitúa en las seis direcciones del espacio y una en el medio, rueda central (Clásica referencia al universo de EVIDEON, N.d.A).
Fohat traza líneas espirales para unir la sexta a la séptima - la corona. Un ejército de hijos de la luz se encuentra en cada ángulo, los Lipika en la rueda mediana. Afirman : "Este es bueno". El primer mundo divino está listo; el primero, el segundo. Entonces "el divino Arûpa" se refleja en Chhâyâ Loka (El Primer Hombre, N.d.A.) el primer revestimiento de Anupadaka (El Primer Creador, N.d.A.).
El texto continúa haciendo referencia a la naturaleza puramente geométrica de la virtualidad :
Las chispas de los siete soportan y sirven al primero, al segundo, al tercero, al cuarto, al quinto, al sexto y al séptimo de los siete.
Estas son llamadas esfera, triángulo, cubo, línea y modeladores; ya que de esta manera se encuentra en eterno Nidana, La Oi-Ha-Hou. La Oi-Ha-Hou que es la oscuridad, lo ilimitado o el no número (Un modo cortés y simbólico para identificar al cero, N.d.A.), Adi-Nidana, Svâbhâvat, el círculo :
a) La Adi-Sanat, el número, porque él es uno.
b) La voz de la palabra, Svâbhâvat, los números, porque él es uno y nueve (como en el mundo de EVIDEON, no existe el cero que es un no número, N.d.A.).
c) El cuadrado sin forma.
Y estos tres adjuntos dentro del círculo, son los sacros cuatro y los diez son el Universo Arûpa. Después vienen los hijos, los siete combatientes, el uno, el octavo sacado fuera y su aliento que es el componente de la luz.
El texto pone en secuencia los números que representan el nacimiento de los diversos niveles energéticos en un orden preciso : 1, 3, 5, 7 que representan la justa secuencia creada de los niveles energéticos del superior hacia el inferior.
Tal secuencia es un perfecto acuerdo geométrico con la disposición de los niveles energéticos del universo que después del primer nivel aparecerán 2 a 2 degenerados y no están uno sobre el otro, como en una visión clásica, comúnmente repostada en el ambiente new age.
Por otro lado, se puede notar como el semi universo construido con material fotónico, que ya graficamos anteriormente, tenga la característica de tener como valores totales de la energía un valor nulo (Es : -243+567-324 = 0).
Queriendo traer también los 7 niveles creados de los antifotones el gráfico se complica pero proporciona otras indicaciones.
Nuevamente la suma de todas las energías es igual a cero pero se nota como los niveles fotónicos y antifotónicos se entrelazan entre sí con el fin de lograr lo que podría identificarse como nuestro nivel, uno de los niveles antifotónicos. En este contexto los alíen del antiuniverso (aquello convencionalmente llamados Ra por ejemplo) serían puestos en las proximidades de nuestro nivel energético y no deberían efectuar muchos saltos cuánticos para llegar a nosotros, sólo uno.
A nivel arquetípico, se observa cómo, durante el desarrollo del test TCTD (Triada Color Test Dinámico), los sujetos abducidos, indican siempre sobre el pavimento de la estancia mental, es decir, el correspondiente inferior de nuestro nivel, idealmente visto, el punto negro que succiona energía, mostrando nuevamente, por si fuera necesario, la potencia arquetípica de la simulación mental, capaz de respetar la geometría "sagrada" del Universo por nosotros mismos creado. Aquí abajo se muestra el gráfico de todos los 14 niveles energéticos del Universo virtual en que se observan las partes de los diferentes niveles.

Los niveles claros pertenecen al universo fotónico y los oscuros al antifotónico. Por último, se desea introducir este esquema de la racionalización geométrica de los datos en los otros ejes del espacio y del tiempo, expresado en forma de esferas, teniendo en cuenta los valores recabados de los datos expresados en la tabla siguiente, tendríamos que los diferentes niveles energéticos se caracterizarían por interesantes giros.

En este diseño en 3 dimensiones, se nota como las esferas negras y las claras que representan los niveles energéticos antifotónicos y fotónicos tienen volúmenes diferentes pero se puede notar como existe un plano de simetría derecha-izquierda donde el espacio y tiempo se anulan el uno al otro.
Las esferas tienen 3 valores de volumen.
Indicados simplemente, con los números 1 2 y 3, los volúmenes de las esferas, se descubre como la suma de los volúmenes de la derecha es especularmente igual a los volúmenes de la izquierda, así como sobre el eje vertical los volúmenes de las esferas oscuras se anulan con el volumen de las esferas claras.
Nuevamente espacio y tiempo se anulan entre ellos codificando la regla geométrica que el universo nació de la nada, vale nada en su conjunto.
Una última nota es necesaria cuando se analizan los niveles energéticos cero (las esferas al centro de los gráficos).
Estas 2 manifestaciones parecen ser muy cercanas entre ellas o ser incluso la misma manifestación todavía no separada de su imagen especular. Representan el inicio del todo, el fotón y el antifotón que se están manifestando.
Pero sobre la definición de fotón y antifotón regresaremos después.
El mundo descrito por Evideon, siendo representativo del ladrillo principal, constituye la unidad constructiva del universo fractálico. El Universo es un inmenso holograma de un fractal, no local. Pero más allá de esta compleja definición podríamos constatar cómo, en el mito, no hay un claro rastro del Evideon así como en todos los aspectos de la realidad virtual. La cual es un holograma en la que, la única cosa que cuenta, es la geometría y la simetría evideonica. Entonces, si así están las cosas, podemos aplicar las reglas de simetría evideonica también al macrocosmos de nuestro comportamiento y en particular a las reglas que dictan los principios de la comunicación no verbal, ligada al movimiento geométrico de nuestro cuerpo.
En palabras más simples, si nos preguntamos sí, dentro del mundo de la comunicación meta estudiada por la PNL (programación neuro lingüística), ha instalado las mismas reglas que establece la geometría del Universo entero.
Uno de los descubrimientos de la PNL está relacionado al movimiento de los bulbos oculares usados como sonda del pensamiento. Se dice de hecho que los canales de entrada de la información, del exterior hacia el cerebro son fundamentalmente 3 : el visivo, el auditivo, el kinestésico que, como dice la palabra, interpreta todo lo que sea sensación táctil olorosa, calórica, etcétera.

En particular si tenemos un sujeto mayoritariamente visivo, cuando se comunica con los otros, se pondrá de frente al interlocutor, mostrará el movimiento ocular mirando hacia arriba. Si el sujeto es auditivo, mantendrá los ojos al centro, pero si es mayoritariamente kinestésico, bajara continuamente los ojos. También mantendrá la mirada a la derecha de quien observa, y verá en su mente imágenes del futuro (falso) mientras que si lo hace a la derecha de quien lo observa, evocará imágenes del pasado (verdad).
Por analogía, cuando el sujeto evoca sonidos verdaderamente escuchados (recordados) mantendrá los ojos en el centro hacia la derecha de quién nos observa, mientras los sonidos construidos darán origen a un desplazamiento de los bulbos oculares verticalmente al centro y lateralmente hacia la izquierda.
El kinestésico que recuerda las sensaciones reales, mirará abajo a su derecha, mientras que si mira abajo a la izquierda está evocando palabras al interior de sí mismo (si está hablando dentro).
Entonces para sintetizar con un diseño el comportamiento humano sobre la base del movimiento ocular.

Este potente método permite verificar si el sujeto por ejemplo está mintiendo, está soñando o está diciendo la verdad que él cree como tal (de buena fe).
La explicación de este comportamiento no es de ningún modo clara ya que los expertos en PNL sostienen que el movimiento de los bulbos oculares está activado por los músculos específicos que activaría a su vez, algunas áreas específicas del cerebro, que interactúa con los recueros o activaría otros sectores del cerebro dedicados a mentir.
Por lo tanto, esta serie de hipótesis choca violentamente con la idea del universo holográfico no local de Bohm que considera el tiempo no existente pero sostiene que existe solo el presente. En segundo lugar, la PNL no parece estar salida de la observación de que si los ojos se ponen al centro arriba ellos llaman a los recuerdos relacionados a la esfera del pensamiento positivo, al pensamiento negativo abajo y al pensamiento presente al centro.
No se entiende después cómo por ejemplo, se le atribuye a la posición abajo a la izquierda, la sensación de hablarse interiormente. Qué es lo que hace evocar un sonido si el ojo no está al centro, en la zona de los auditivos?
Una más correcta explicación deriva del análisis de los músculos que orientan los bulbos oculares ya que es posible sostener que los músculos que tienden a llevar los ojos a la derecha son maniobrados por el hemisferio derecho y vice versa. En ese contexto se podría deducir que la parte masculina de uno mismo, interno, que reside en el lóbulo izquierdo (la parte espiritual) tiene la idea de que el tiempo está ligado al futuro (mira el futuro) donde en correspondencia con esta observación, la parte femenina de uno mismo está prevalentemente orientada al pasado.
En este punto se podría sostener tendenciosamente que los masculinos serían más mentirosos que las femeninas ya que tienden a construirse una realidad fantástica en el futuro mientras que las femeninas permanecen sólidamente ligadas a su pasado.
Esta observación de tipo perjudicial todavía no ha sido resueltamente verificada estadísticamente y por lo tanto está sujeta a rechazarla. No se comprendería como distinguir sensaciones kinestésicas verdaderas de las falsas. El sistema del TCT/TST contenida en la visión evideonica del universo resuelve todos estos problemas.
El cerebro humano sigue la reglas evideonicas y por lo tato se relaciona con el pasado y el presente, a través de una time line, una línea del tiempo, que arquetípicamente está construida en el interior de nuestro cerebro, posicionando el pasado a la izquierda y el futuro a la derecha. En los zurdos es necesario notar que tal orientación está invertida. De hecho, es la simetría cerebral que interpreta el universo externo con el cual el cerebro se relaciona constantemente. Otra observación a señalar es la relacionada al por qué el eje del tiempo está intuitivamente y típicamente colocado en la dirección derecha-izquierda (o izquierda.-derecha para los zurdos). La respuesta es fácil. Los sensores del sonido, son colocados en el hombre precisamente en la dirección privilegiada del eje derecha-izquierda (las orejas son colocadas al lado del cráneo en el ser humano que arquitectónicamente pone el eje del sonido traspasando el cráneo de derecha a izquierda).
Es por ello que el eje del tiempo corresponde también al eje de la percepción auditiva. Y es también fácil demostrar que el eje vertical de la energía potencial, se experimenta por el sujeto como si fuese el eje kinestésico y por exclusión, el eje visivo correspondería al eje del espacio.
Habiendo supuesto, por primera vez, estas relaciones es posible probar el sistema de la triada color test, paragonándolo a las respuestas de tipo VAK que los seres humanos dan en las más variadas situaciones.
En palabras más sencillas, se amplía el viejo modelo interpretativo VAK empujándolo del plano de observación bidimensional a un espacio tridimensional craneal más complejo pero a grado de dar respuestas decididamente más integrales.

Si ponemos el centro de los ejes cartesianos al centro del cráneo y los orientamos del modo correcto, nos damos cuenta de que el eje de la energía se vuelve vertical respecto al cráneo, mientras que el eje del tiempo, es decir, el de la audición, está horizontal y a los lados del cráneo. El eje visivo del espacio toma la dirección adelante-atrás en la frente.
Con esta visión de las cosas, mover el cráneo hacia la derecha o hacia la izquierda o hacia arriba o hacia abajo, producirá un consecuente realineamiento de los ejes de espacio, tiempo y energía y es decir, visivo, auditivo y kinestésico, proporcionando un sistema dinámico perceptivo variable tridimensional.
Tener un sistema perceptivo que tiene lugar al centro del cráneo espera tener una percepción del propio territorio diferente según la posición que la cabeza asume observar en el mapa del territorio. Subrayando entonces, otra característica muy importante de este sistema de ejes cartesianos. Es una línea con la idea de que cada uno de nosotros se construya un mapa del territorio diferente a la correspondiente de otro, donde la diferencia entre mapa observado virtual y territorio real, representaría una medida del nivel de consciencia que el sujeto posee.
Recodemos que para la PNL clásica el mapa es la realidad virtual verdadera mientras que el territorio representa la realidad real así como es hipotéticamente perceptible por el sujeto observador.
En "realidad", ahora sabemos que, según la física cuántica de Bohm, el territorio, por ser no modificable, debe representar la realidad real y no la virtualidad. Mientras que el mapa del territorio representa la virtualidad desnuda modificable. En este contexto, cada ser humano, llevaría consigo su universo interno caracterizado por su grupo de ejes cartesianos que darían origen a una percepción del territorio totalmente personalizada y diferente por la de otras personas. En palabras simples, si el señor A observa un árbol, estaría convencido de que es el mismo árbol que está observando el señor B : En realidad cada uno de los 2 sujetos, es el creador de su universo, crearían un árbol distinto. Los 2 señores pensarán que observan el mismo objeto mientras no se den cuenta que el universo virtual del primero no es idéntico al del segundo. A nivel macroscópico los 2 universos podrían ser similares al máximo, pero a nivel cuántico subatómico, la diferencia será grande.

Este modelo, por un lado prevé que la realidad real es la única, igual para todos (la Consciencia) pero la realidad virtual (mutable) sería del todo subjetiva; por otro lado, este modelo representativo, constituiría la verdadera representación del universo en burbuja inflada, postulado por una rama de la astrofísica moderna https://it.wikipedia.org/wiki/Inflazione_(cosmologia).
Cada ser humano sería una burbuja inconsciente y cuando 2 burbujas entraran en colisión entre ellas (relación interpersonal), cada uno manifestaría su idea del universo sin acordarse de que cada uno crea el universo sobre la base de su consciencia del mismo universo. Este hecho haría aparecer el universo a cada uno de acuerdo a como cree que es porque lo crearía, instante por instante, como idea del todo personal. Vale la pena señalar que no existiendo el tiempo ni el espacio, en cada instante el universo de cada uno cambia con el cambiar de las propias creencias. No existiendo el pasado, nadie recordaría que en un presente anterior, se tenía una visión diferente de la virtualidad mientras solo la adquisición de consciencia de este hecho, haría comprender la verdadera naturaleza del universo en el cual, nosotros somos los creadores.
Aunque en el sistema representado por VAK, la dirección de los ojos sigue un vector tridimensional en el que el observador vería solo su proyección sobre un plano vertical al plano terrestre (la cara del sujeto). Reexaminar entonces las respuestas del tipo VAK nos permite por ejemplo, comprender como si los ojos se mantienen abajo a la derecha de quien observa, el vector que indica la dirección tendrá una componente visiva indeterminable. Las componentes kinestésica y auditiva serían representativas de una situación también energética y espacial, donde la componente auditiva mira el pasado y la kinestésica de tipo negativo (vector hacia abajo) proporcionaría, a la respuesta auditiva, el carácter de interiorización. Se deduce que el sujeto que mueve los ojos en esa dirección se está hablando hacia dentro. Debe destacarse cómo la componente visiva, en este contexto, no es perceptible mediante el modelo VAK bidimensional clásico. Por lo que se puede afirmar que el sujeto está también acoplando al sonido escuchado el interior de sí mismo, una imagen del pasado correspondiente a los sonidos que está volviendo a escuchar : pero así como, probablemente la componente auditiva toma las de ganar, y la visiva tiende a contar menos sobre la respuesta general.
Partiendo de esta observación es posible notar como cuando el sujeto está en estado hipnótico con los ojos abiertos, y está reelaborando imágenes del pasado (el término revivificación en este contexto parece obsoleto, a la luz de la idea de que el universo sea no local), ponga los ojos al centro sobre el eje visivo (componente espacial) en cuanto ve delante de sí, en su presente subjetivo (el pasado que está recordando), las imágenes de una escena vivida en un pasado copresente con el presente. Análogamente cuando, por ejemplo, el sujeto mueve los ojos hacia arriba a la izquierda, está viviendo una situación que él coloca en su pasado. En ese instante lo ve y siente como algo que sucede afuera de sí porque los valores de la componente vectorial que se refiere al eje de la energía (kinestésico) son positivos. En otras palabras cuando el sujeto mira hacia arriba recuerda sensaciones auditivas y visivas fuera de sí, mientras que cuando observa hacia abajo está haciendo introspección, reelaborando también vivencias internas de sí mismo.
De acuerdo con esta lectura del sistema VAK podemos agregar que sería difícil tener confirmado el peso real que se le debe dar a la componente visiva (eje del espacio) siendo proyectado adelante-atrás y sin tener consideración visible en el movimiento de los bulbos oculares, pero como el sistema está relacionado al modelo representacional de los movimientos del cuerpo, dictado por las reglas del Evideon, se puede aplicar a cualquier parte del cuerpo, podemos notar como la brecha de informaciones derivadas de los bulbos oculares es ampliamente compensada y confirmada por el movimiento de las manos. Será por este motivo que, cuando un sujeto con prevalencia visiva manifiesta su vivencia visiva, tiene necesidad de mover las manos adelante y atrás utilizando el eje del espacio (el visivo). En la PNL se nota como los movimientos de las manos sobre todo en la zona superior del cuerpo corresponde a los que se expresan visivamente. Los auditivos y todavía menos los kinestésicos, no utilizan el canal visivo sino como canal secundario de expresión; no tienen manifestaciones bruscas en el eje del espacio y no tienen necesidad de mover las manos las cuales mantendrán posiciones siempre más abajo respecto al centro de los ejes (que se encuentra en el cerebro). Esta sería la verdadera razón del por qué los kinestésicos no mueven los brazos cuando hablan y los auditivos las mueven poco teniendo la tendencia a movimientos en la zona medio baja del busto.

La gramática transformacional, una rama de la PNL, permite la observación de palabras utilizadas en la descripción del mapa del territorio, para verificar la insuficiencia del mismo mapa y sugiriendo cambios en el léxico del tema examinado, y cambios en la expresión formal, alteraría automáticamente el mapa del territorio. En otras palabras, según las expresiones que se usen para describir una imagen recordada, vista o elaborada, se comprende el nivel de consciencia que el sujeto tiene del territorio. En este contexto, sin entrar en detalles para los cuales los referimos a las pruebas de la gramática transformacional, aquí nos enfocaremos sobre algunas frases que el sujeto dice generalmente moviendo los brazos. Las expresiones clásicas a las cuales nos referimos son las siguientes :
"Vamos adelante" que en modo figurativo quiere decir : "no hay que detenernos en estos detalles y prosigamos nuestro análisis sin perdernos en cosas sin importancia". El sujeto cuando usa esta expresión mueve el cuerpo hacia adelante utilizando el eje espacial. Análogamente expresiones figuradas del tipo "no se puede volver atrás", están acompañadas de un movimiento del torso hacia atrás y el sujeto hace referencia a un "atrás" espacial. Por el contrario, cuando hace referencia a un movimiento largo el eje del tiempo se mueve al lado a la izquierda para el pasado y a la derecha para el futuro. Son los mismos movimientos del cuerpo que indican, relacionados con los movimientos de los ojos, la exactitud del modelo VAK tridimensional, es decir, el modelo del TCT.
El modelo tridimensional VAK/TCT no solo está de acuerdo con el modelo más simple bidimensional de la PNL clásica sino que además explica en concreto todo lo que parece un misterio en la versión clásica. Todo aquello que antes no podía salir a la luz. Por ejemplo : si una persona se mueve, estando parada en su lugar, oscilando el cuerpo de un lado al otro como péndulo y levantando rítmicamente los pies de la tierra, eso será interpretado por la PNL clásica, como un gesto de inquietud causada por el hecho que el sujeto se encuentra incómodo en ese lugar. Tal comportamiento lo encontramos muy a menudo en los estudiantes interrogados en el pizarrón. En realidad el sujeto quiere salirse de aquella situación pero sólo en el eje del tiempo y no en el del espacio : en otras palabras quisiera hacer el examen en otro momento o haberlo ya realizado. Si por el contrario el sujeto oscilara adelante y atrás, él no quisiera estar en ese lugar en ese preciso instante : escapar en el espacio pero permaneciendo en su tiempo. Simplificando, en lugar de estar allí y presentar el examen, quisiera estar posiblemente en el mar. Si el sujeto se mueve adelante y atrás girando también su cuerpo sobre su eje para cambiar de dirección continuamente, eso se podría suponer como que él no quisiera estar en ese lugar en el espacio y en el tiempo : quisiera evadir totalmente aquella situación.
Si el sujeto saltara sobre las puntas de sus pies oscilando hacia arriba, esto gesto se interpretaría como que quisiera encontrarse en otro lugar a un nivel de energía más alto : en otras palabras, está pensando sobre cuándo será el tiempo en el que se encuentre en una situación para él más agradable, cuándo será el día de estar contento, en una posición más elevada (muy a menudo Mussolini tenía este comportamiento que erróneamente se explicaba como que quería sentirse más alto : más alto si pero no en altura sino en energía).
La PNL clásica le habría dado a estos 3 movimientos, igual significado es decir : "no quiero estar aquí" mientras que el modelo evideonico nos permite meternos en profundidad en las motivaciones relacionadas a la expresión motriz.
Análogamente si tenemos 3 personas que están hablando o más específicamente comunicándose entre ellos, será necesario comprender cómo la posición de las personas entre ellas, influenciarán de manera muy marcada, la comunicación. En otros términos el sujeto central tendrá dificultad de comunicarse con la persona de la derecha y al mismo tiempo con la que se encuentra a la izquierda, porque mientras observa a la persona de la derecha moverá su cráneo hacia su interlocutor privilegiado y orientado con sus propios ejes, con el cual la comunicación será óptima, dejando al otro sujeto en desventaja porque no podría superponer eficazmente sus ejes de referencia con el otro segundo interlocutor. En una conferencia sería errado poner a los alumnos en círculo junto con el conferenciante al centro. El auditorio debe estar colocado siempre en el lugar donde el conferencista dirige su mirada. La regla fundamental para una buena comunicación diría así :
En estas dos imágenes podemos notar la posición equivocada a la izquierda y la correcta a la derecha. La posición de los interlocutores a la izquierda lleva inevitablemente a todos los participantes a la discusión a tomar la palabra para llamar la atención del informador y todos eventualmente se convierten en informadores creando caos comunicativo.

En este contexto se comprende perfectamente cómo el encuentro con un zurdo puede crear problemas pero sólo sobre el eje correspondiente al tiempo es decir, sobre el eje auditivo porque estará invertido respecto a la posición de los ejes con respecto al diestro.

Este tipo de inversión de polaridad del eje temporal se debe a la diferente disposición de los 2 hemisferios cerebrales que son invertidos en el zurdo con respecto a la posición que ocupan en el cerebro del diestro. Esto lleva a percibir el universo a lo largo del eje del tiempo de manera contraria donde el futuro será la izquierda y el pasado se verá representado a la derecha del sujeto.
Cuando un zurdo se entrevista con un diestro, los 2 se moverán a la misma parte de la estancia y no querrán continuar porque los 2 interpretarán las micro señales del otro de manera opuesta. Mientras un sujeto comunicará con micro señales a su jefe que se está moviendo en el tiempo hacia atrás para hacer pasar al otro, este último pensará que el sujeto se quiere mover adelante en el tiempo. En otras palabras, mientras uno dirá : disculpa me hago a un lado y te dejo pasar PRIMERO a ti, el otro creerá que deberá pasar DESPUÉS : y será el caos comunicativo.
Existen raros casos en los cuales los sujetos imaginan tener el tiempo futuro delante a ellos y el camino recorrido a la izquierda. En este caso está claro que por algún motivo, que no indagaremos aquí, el sujeto tiene dentro de sí, un sistema evideonico orientado de manera diferente a la norma, donde el eje del tiempo toma el lugar del eje del espacio. Estos sujetos se caracterizan por una fuerte dificultad para relacionarse con el mundo externo que usa una geometría diferente para identificar el mapa del territorio. Comúnmente estos sujetos tienden a cerrarse en sí mismos porque sus lenguajes corporales no se perciben correctamente por los otros. Sobre la base de la poca experimentación efectuada, sería posible obtener, en estos sujetos, el retorno a la norma simulando con el movimiento de rotación del cuerpo sobre su eje que está en la mente, la rotación del sistema evideonico, imponiendo a nivel simulación mental que el tiempo esté a los lados y el espacio adelante y atrás. Fijando de esta manera la nueva orientación al sujeto sería inmediatamente "curado" a grado de resolver todos sus problemas comunicativos.

En el estado actual de nuestra investigación no tenemos datos suficientes para poder asegurar que ciertas enfermedades o daños psicológicos tengan como causa la no correcta alineación de los ejes internos. Por citar un solo ejemplo, tenemos la impresión de que el autista pueda tener el eje kinestésico en el lugar del eje de la visión. Si así fuese, el autista en realidad tendería a no percibir al interlocutor de frente a sí, con la visión, sino con la energía que él emana y lo colocaría automáticamente a un nivel energético superior, negando el contacto. Pero si el autista tiene la posibilidad de relacionarse con otro sujeto y específicamente con tacto del cuerpo; aquí surge espontáneamente la pregunta : ¿el autista debe ser tocado partiendo de atrás (por ejemplo por la espalda) no por delante? El autista percibiría en el visible las cosas que están debajo o por arriba pero girando la cabeza hacia abajo o hacia arriba, también el eje del la visión cambiaría y, en otras palabras, el autista seguiría y perseguiría siempre el mundo de la imagen sin jamás atraparlo (Head Bending). Al final los autistas terminarían por no moverse más, comprendiendo que su intento siempre falla.
En grafo análisis se utiliza un instrumento análogo al sistema VAK de la PNL que toma el nombre de Cruz de los espacios de Pulver. También este instrumento deriva de la atenta observación de los sujetos que escriben y que tienden a usar los espacios según su esfera emotiva esté trabajando en diferentes direcciones. En resumen la escritura que va hacia la derecha va hacia el futuro mientras el que tiende a la izquierda representa el pasado. Arriba están las ideas, abajo los sentidos y para terminar, la presión sobre la hoja indica la relación con la verdad o falsedad. Sustancialmente, sin entrar en detalles complejos, se puede notar cómo el modelo propuesto por Pulver y utilizado por Moretti para el análisis grafológico, es la representación perfecta de lo que ya hemos sostenido hasta ahora.

En otras palabras, cuando el sujeto escritor se pone a escribir, dirige la cabeza hacia la hoja y en este caso llevará consigo la rotación de los ejes que cambiarán de orientación en el universo virtual que circunda al escritor. El resultado será que mientras el eje del tiempo permanecerá invariado (izquierda derecha : pasado futuro : para los zurdos será al contrario) el eje del espacio se vuelve vertical respecto a la hoja escrita. En ese contexto tal eje, que representa siempre el espacio y la visión, dirá cuando hacia el otro yo vaya mientras escribo, es decir, cuando sea propenso a invadir su esfera o cuando me le revelo. El grafólogo interpreta esta tendencia o constelación grafológica sosteniendo que el sujeto que escribe apretando muy fuerte sobre la hora es un sujeto con tendencia a decir la verdad intencionalmente porque, nosotros decimos que es muy invasivo y excesivo con el espacio de los otros.
Por otro lado, el eje de la energía, es decir, el eje kinestésico se vuelve vertical, a lo largo del eje arriba-abajo relativo a la hoja escrita, en ese contexto Pulver reconoce en quien escribe con tendencia a estar en la parte alta de la escritura, la constelación de quien piensa mucho, de quien es idealista, etcétera. Quien escribe abajo, por el contrario, es de quien piensa en lo sólido, lo material, el dinero y en todo lo que energéticamente está definido en suelo firme y no elevado.
De acuerdo con el modelo tridimensional del TCT es evidente e inconfundible y demuestra que la orientación de los ejes espacial, temporal y energético, sigue la tendencia del cráneo del sujeto, dentro del cual reside el centro de su universo virtual por él mismo creado, átomo por átomo.

Aquí, se debe subrayar algo importante; el grafólogo sostiene que la escritura que tiende hacia la derecha significa ser extrovertida, invadir la esfera del otro, etcétera, haciendo alusión a todo lo que parece estar relacionado al dominio del espacio. En realidad el escritor tiene la idea, no de compartir el espacio, sino el tiempo, con su interlocutor. Quisiera estar cerca de él en el tiempo y no en el espacio (o quizás también en el espacio pero como consecuencia del tiempo). También en este caso, las variaciones sobre el eje del espacio como en el sistema VAK, sufren de la bidimensionalidad del sistema utilizado. En el caso del análisis de los movimientos de los bulbos oculares, tal análisis es sufragado por el movimiento de las manos que compensa el lack de informaciones espaciales, mientras que en el caso de la prueba gráfica, la única posibilidad expresiva directa, sería dada por la medida de la variación de lo que el sujeto escritor esté copiando con la pluma sobre la hoja, mientras se coloca de izquierda a derecha.
http://it.wikipedia.org/wiki/Grafologia.
No nos parece que ninguno haya efectuado medidas de este tipo.
Ya habíamos formulado anteriormente la hipótesis de que el universo evideonico fuese una llave de lectura de toda la física subatómica y habíamos postulado un nuevo modelo de estructura de la materia construido solamente por fotones y antifotones, que sin embargo, parecía adaptarse bien a los resultados de la cuántica moderna.
Una buena teoría, para ser tal, debe poder contener todos los resultados experimentales obtenibles y que se obtienen por leguajes construidos al interior de la misma teoría. El mundo evideonico parecía estar calificado para reunir también a las múltiples deficiencias de la física contemporánea y entre ellas, se situó sobre todo, la incapacidad del modelo clásico de explicar lo que era la constante de estructura fina del Universo. La cuál es un número puro adimensional que vale 1/137 y está comparado con el significado físico de la velocidad de la luz. En otras palabras, es un valor de la relación entra la carga eléctrica del electrón al cuadrado dividido por la constante de Planck multiplicada por la velocidad de la luz. Por lo que es una constante que vincula el valor de otras 3 constantes de importancia capital para toda la física moderna. Vale la pena subrayar que si la constante universal tuviera un valor diferente de lo obtenido por los cálculos y medido experimentalmente, el universo no existiría o no existiría como lo conocemos hoy.

La existencia misma de esta constante viene interpretada por algunos científicos como un indicio de lo incompleto de nuestro sistema teórico actual. Las constantes no adimensionales están, de hecho, asociadas a convenciones en la unidad de medida y dependen de la elección de la misma. Una constante adimensional, por el contrario, es independiente de la unidad de medida y aparece como un factor arbitrario en una teoría.
http://it.wikipedia.org/wiki/Costante_di_struttura_fine.
En la historia de la ciencia las constantes adimensionales han sido, de algún modo, eliminadas gracias al crecimiento de la teoría en las cuales aparecían. La constante de la estructura fina tiene una gran importancia en la teoría filosófico-científica del principio antrópico; de hecho este parámetro adimensional tiene una influencia fundamental sobre el universo. Si su valor fuese diferente, aunque sea un poco (cerca del 10-20%) del valor original, el universo sería diferente de cómo lo vemos, y las leyes físicas no serían como las conocemos. Por ejemplo, los reportes entre las fuerzas atractivas y repulsivas entre las partículas elementales serían diferentes, con consecuencias sobre la constitución de la materia y la actividad de las estrellas. En un universo con a diferente nosotros mismos no podríamos existir. Utilizando las observaciones hechas con los telescopios Keck sobre 128 quasar a redshift de 0,5<z<3, Webb y su grupo, encontró que los espectros estaban de acuerdo con un ligero aumento de la constante en los últimos 10-12 millones de años, que puede ser expresado por :

Han sido propuestos varios métodos para medir si, en el pasado de la historia cósmica, a ha asumido diferentes valores : dada la dependencia de este valor de las principales constantes físicas, sería un indicio de que las leyes físicas varían en el tiempo. Hasta ahora no se han encontrado cambios significativos no atribuibles a errores de medición.
http://www.lescienze.it/news/2013/07/09/news/costante_struttura_fine_nana_bianca-1733505/.
Esto no quiere decir que se hayan cometido errores. Por un estudio sobre 153 mediciones efectuadas en el Very Large Telescope Project del ESO, la constante parece mostrar un valor diferente que en el pasado, abriendo así la hipótesis de la no validez universal de las leyes de la física. Las variaciones del valor de esta constante provocaría la variación de la velocidad de los electrones de los orbitales 1s en la tabla periódica, porque tal velocidad es calculada con la relación entre el número atómico Z de los elementos y la constante 137, según Max Planck. El perfeccionamiento del modelo de Bohr, propuesto por Sommerfeld y Wilson, contiene todavía un aspecto fundamental, es decir, la valoración de los efectos relativistas. En particular, la evaluación de Sommerfeld, de la relación entre la velocidad del electrón sobre la primera órbita del átomo de Bohr y la velocidad de la luz en el vacío, introduce la "constante de la estructura fina" definida como :

Consideraciones dimensionales muestran que la constante es un número puro, la sola cantidad adimensional que puede ser formada con las 3 constantes e, h y c (respectivamente : carga del electrón, constante de Planck y velocidad de la luz en el vacío).
A decir verdad, partiendo de argumentos de estética y numerología, Eddington asegura que la constante de estructura fina (que en esa época se estimo con el valor cercano a 1/136) valiese exactamente 1/136. Cuando en 1938 las mediciones demostraron que el valor de esta constante se aproximaba a 1/137, Eddington busco explicarlo conectando 137 al llamado número de Eddington, su estimación del número exacto de electrones en el Universo.
Walter Cassani http://it.scienza.narkive.com/sF69Rer2/sfida-a-smargiassi-la-costante-distruttura-fine-puo-ora-essere-137-intero demostraría que :
"... el modelo de la resonancia, completo por las longitudes de onda Doppler, nos informa que, por 1 giro completo del electrón, las superficies de onda que lo preceden viajan a la velocidad c1 a lo largo de la órbita, hace 136 giros. Cuya velocidad de las ondas sobre la primera órbita del átomo de hidrógeno es c1<c para c1 = 299.713.701, 57484780619 m/s Con esto hemos demostrado, según la lógica de la discontinuidad, de Schild, la tesis que les estamos proponiendo, es decir, que el verdadero valor de 1/alfa es un número entero igual a (138 + 136)/2 = 137."
En suma, el debate sobre esta constante, como de otras, que tiene el significado intrínseco al modelo universal de la física, y sobre todo el debate sobre el hecho de que estos valores deben ser constantes valoradas, está abierto.
http://www.coscienza.org/scienza/incostanza_delle_costanti.htm.
El valor de la constante de estructura fina es tan importante como el mundo del esoterismo y de la geometría sagrada que nos ocupa.
Los cálculos efectuados utilizando la Gematría, la ciencia cabalística hebraica según la cual existiría una correspondencia entre las letras del alfabeto hebraico y los números, harían sostener, según expertos en esta materia, que los números 136 y 138 no querrían decir que onda y partícula donde el tercer número 137 tendría el significado de luz, es decir, de fotón. Si por un lado, este tipo de aproximación pudiera ser extremadamente débil no debemos olvidar que comúnmente, en los pliegues del mito, se esconde la realidad de por qué el hombre construye el mito como imagen del universo por él mismo creado inconscientemente.

136 es la palabra "voz", kol (Quf - Vav - Lamed). Como se ha notado, la voz se propaga a través de las ondas. 138 es por el contrario, la palabra "partícula" chelek (Cheit - Lamed - Quf), que significa de hecho "pieza de materia". Se trata del mismo nombre que en el hebraico moderno se utiliza para llamar la partícula nuclear! Por una parte tenemos la onda y por otro la partícula : los 2 aspectos de la realidad que la física ha puesto en evidencia. Entonces, mientras que por un lado la ciencia oficial no encuentra respuestas concretas y la cábala hebraica (Kabbala) hace reentrar todo en la visión de la creación divina, algunas hipótesis nuevas llaman la atención del pensamiento científico. La teoría que proporciona el Universo de Evideon es una clásica teoría llamada "del todo". Esta teoría proporciona de algún modo, la posibilidad de fundir los aspectos de la gravitación con el electromagnetismo.
http://it.wikipedia.org/wiki/Teoria_del_tutto.
"La constante "estructura fina" medida de la fuerza del campo electromagnético que controla cómo interactúan el electrón y el fotón. Es adimensional porque está relacionada a otras 2 constantes fundamentales : h e c. Los científicos piensan que debe existir un significado que dé a la constante "estructura fina" el valor . que representa la relación entre la circunferencia y el diámetro de un círculo o de una esfera"
La teoría del todo espera que la constante de estructura fina pueda ser la representación de una esfera o de un círculo. En efecto la teoría de Bohm del universo holográfico, sostiene que el tiempo no existe y que existe solo el presente. Sí así fuese, podremos representar el tiempo como una circunferencia en la que los puntos son isócronos, es decir, siempre tienen el mismo valor del tiempo. Históricamente la idea del tiempo no lineal pero circular se remonta a los tiempos de San Agustín.
El concepto de tiempo lineal ha sido introducido y abogado por la Iglesia Católica ya que sólo un tiempo lineal garantizaría que el pecado del hombre pueda ser redimido. El tiempo cíclico produciría la necesaria idea de que el hombre, después de la redención, pueda volver a pecar y esto estaría en desacuerdo con la idea de la salvación humana, que se produce una sola vez en la historia del universo mismo. Antes de que la iglesia metiera las manos en el concepto de tiempo y destruyera lo poco de racional que conecta el concepto de tiempo al de entropía, el mundo pensaba que el tiempo era circular.
De la visión antropomórfica de la mitología clásica deriva la continuidad de los eventos entre la historia de los dioses y la de los hombres. Tal continuidad está garantizada por la figura del héroe producida por la combinación entre la perfección e inmortalidad divina y la imperfección y la mortalidad humana. "La historia de los dioses refleja, anticipa y explica la historia de los hombres, pero está construida a partir de esta última. De la visión naturalistica de la religiosidad órfico misterica se evidencia la idea del ciclo como retorno perenne en sentido naturalistico, donde se establece una alternancia entre vida y muerte, progreso y decadencia, fortuna y desgracia. El tiempo, entonces, siempre se repite y siempre es súcubo del destino, elemento esencial de esta concepción temporal. El tiempo no puede ser otro que la rueda en la cual todos los seres renacen eternamente, mueren y se reordenan a su estado original, como describen las mitologías orientales. El tiempo cíclico es un concepto pivote de la filosofía india y de la filosofía budista, con los conceptos de samsara, que solo el nirvana puede romper, el de kalachakra y el de los kalpa o eones, periodos de millones de millones de años, divididos en yuga, equivalentes o menos a las cuatro edades (edad del oro, de la plata, del bronce y del hierro) de la mitología griega"
http://it.wikipedia.org/wiki/Concezione_del_tempo.

Si el tiempo va en una sola dirección no existe involución humana y, si no existe ésta, entonces se puede decir que la entropía del universo está siempre en aumento.
Todo volvería si no fuese que la entropía no mediría la energía del sistema sino una grandeza íntimamente conectada con la entropía que es la consciencia del universo mismo. En ese contexto, sería verdad que ella aumenta siempre pero no sería ya necesario sostener que el tiempo va en una sola dirección, también permanecería válida la idea de que la evolución del universo va, por el contrario, en una sola dirección.
http://www.freemasons-freemasonry.com/tempo.html.
Análogamente, los antiguos mitos del mundo oriental sostienen una ciclicidad del tiempo al menos sobre algunos aspectos de tales concepciones.
http://lcalighieri.racine.ra.it/pescetti/ricerca_infinito_2004_05/somm_oriente/religioni_orientaliht.
En la concepción del universo holográfico si el tiempo es circular también el espacio lo sería.

Entonces, podremos imaginar 2 circunferencias a 90 grados entre ellas e idénticas de radio que se superpondrían solo en 2 puntos, teniendo ambas el mismo origen cartesiano, la circunferencia horizontal estaría caracterizada por el hecho de que todos los sonidos puestos tienen el mismo valor del tiempo. La circunferencia en la vertical tendría todos los valores del espacio idénticos (no existiría el espacio, si no un solo punto). La circunferencia puesta a 45 grados en un sistema sexagesimal, representaría la velocidad, como relación entre el espacio y tiempo y también sería representada como un círculo de radio idéntico a la circunferencia del espacio y del tiempo.
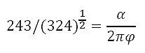
En el mundo evideonico recordemos que el espacio y tiempo tienen la misma amplitud, al contrario del eje de la energía que varia como ya hemos visto anteriormente. En este contexto, el eje de la energía estaría representado por el radio de la circunferencia. Esta representación del espacio, tiempo y energía en el mundo evideonico, estimaría que existen 7 situaciones en realidad similares a esta y concéntricas a esta, siempre más pequeñas (en realidad no serían visibles solo 3 ya que habría 2 a 2 situaciones isoenergéticas, más una situación central representada con un pequeño lugar, donde todavía la dualidad no se ha polarizado pero ya existe) si la velocidad, en cuanto expresión de una relación entre el espacio y tiempo es una circunferencia, esta puede ser puesta realmente en relación con la medida de Pi griego, como se sostiene en la Teoría del Todo. En ese contexto, se pudiera escribir 2πR = 136. En esta expresión nos preguntábamos lo que representaría el valor de R en el interior del sistema de Evideon. Después de numerosas tentativas, notamos que la longitud del eje de la energía de nuestro nivel existencial (693-396) es decir, el número 243, se dividió por la longitud del vector suma de los 3 vectores 3, 9, 6, característicos de este eje (raíz cuadrada de 9, 81, 36 es decir 126) siempre exactamente el valor de la relación 136/2π. Encontramos el valor del límite inferior de la constante de estructura fina, pero ¿cuál era el significado geométrico de todo esto y cómo calcular el valor límite máximo?
Después de muchos intentos de correlacionar el número 136 con una circunferencia que tuviese algún significado al interior de los ejes del TST constatamos que el radio de la circunferencia 136, tiene valor 136/2π = 21,6450, era la hipotenusa de un triángulo rectángulo cuya altura (cateto) tenía el valor de 11,2250.
El otro cateto por el contrario, asumía el valor de 18,5069. el valor de 11,2250 era característico de la longitud del vector suma vectorial de los 3 vectores 3, 6, 9. La posición de este triángulo al interior del TST tiene la característica de tener el ángulo recto puesto sobre el origen de los ejes y el cateto de valor 11,2250 inclinado de un ángulo que está ceñido al valor de 13,43 grados sexagesimal. Tal valor correspondería a asumir en nuestro triángulo una inclinación que produciría una proyección sobre el eje del tiempo (o del espacio) del cateto 18,5064 igual a una longitud no superior a 18,00. De nuevo, tal valor no podría jamás ser superado porque la longitud de los catetos del triángulo en cuestión representaría también los vectores. Por este motivo la suma del vector proyección del vector 18,5064 sobre el eje del espacio (o del tiempo) del valor 18,00, sumada a la longitud del semieje del espacio (o del tiempo) de longitud 162, produce el valor máximo y no superior a 180. Un semieje del TST no puede mostrar una longitud superior a 180, es decir, todo el eje no puede ser más largo de 360.

Estos números de hecho, que son números adimensionales, representan la matemática del TST que va del número 1 al número 359, es decir, existen así 360 valores numéricos que representan solo ángulos. La representación de estos ángulos esta formulada en el TST sobre forma de valores vectoriales. Se transforman los vectores en ángulos. En este modelo es evidente que no existe ningún número superior al 360 porque no existe un ángulo de 361 grados.
Si por una parte el cateto 18,5064 posee una cierta inclinación, su vector correspondiente no puede tener una proyección sobre el eje del espacio superior al valor de 18,00, porque superar este valor produciría la construcción de un eje del espacio que, en nuestro universo, no podría existir porque es más largo de lo posible (repetimos que cada semieje al máximo debe alcanzar el valor de 180 unidad angular).
Por otro lado, la inclinación del triángulo con hipotenusa de valor 136/2π = 18.5064, debe estar inclinado a cierto ángulo, que resulta igual a la inclinación del vector suma de los 3 vectores 3, 6, 9. Estos vectores están orientados en el espacio del TST de modo tal que tengan el origen sobre la punta de los ejes de la energía, resultando ortogonales entre ellos e inclinados con un ángulo de 45 grados respecto a la vertical del eje de la energía.
El cálculo de los ángulos del vector final da para ese vector un valor teórico de (57,688 - 45) 12,7 grados sexagesimales, el cual está de acuerdo con las aproximaciones utilizadas para el valor de 13,4 grados, calculado sobre la base del valor límite de la longitud del semieje del espacio.
Los cálculos efectuados producen un resultado muy interesante.
De hecho, existe la posibilidad de relacionar la constante de estructura fina del universo con Pi griega (π) con la constante llamada sección aurea (?) en una única e increíble expresión.

La relación entre la amplitud del eje de la energía potencial y la amplitud del valor de la raíz cuadrada de la amplitud del espacio/tiempo expresa la relación entre la constante de estructura fina del universo (α = 137) dividido por el producto del doble de π multiplicado por el valor de la sección aurea.

En este modelo, que tratamos de dejar claro al lector ignorante de la geometría trigonométrica (que es una geometría banal antigua y totalmente arquetípica), se observa como la Creación se realizo con la nada. Todos los números simbólicos que representan la Creación son números puros y ellos representan solamente ángulos, direcciones y nada más. En otras palabras, la Creación creando, emite sus productos y, según como los haya disparado con ángulos diferentes por un hipotético y virtual centro, ellos se manifiestan como espacio, tiempo y energía y todo el resto. No existe campo eléctrico, magnético o gravitacional sino sólo ángulos de proyección en un proyector holográfico de un espacio ideado y virtual.
Dicho esto, debemos focalizar nuestra atención sobre formas geométricas de nuestra asunción. El número 136 sería una circunferencia que representa la base de un cono inclinado sobre el eje de la energía, de un oportuno ángulo, que rota sobre el eje de la energía. Este tipo de rotación produce una estructura sólida que podremos describir con una imagen precisa.
El triángulo que ya habíamos formulado, rota sobre el eje de la energía produciendo un doble cono.
El sentido de rotación está abastecido por el hecho de que los 3 ejes, donde 3, 6, 9 existen, no tienen una dirección preferencial pero podemos verificarlos como rotantes sobre el eje de la energía. Análogamente, en la parte que sostiene, el cono se da vuelta para mantener las características de geometría. La base del cono es casi plana con el plano de los ejes de espacio y tiempo pero oscila rotando en torno al eje de la energía y si quisiéramos seguir un punto fijo puesto sobre la circunferencia de valor 136, ella describiría una trayectoria común a la figura geométrica de la cinta de Moebius.

Este símbolo representa el infinito, no solo en matemática sino también en las culturas más antiguas. Representa en el fondo, el universo que no tiene ni inicio ni fin. Es una representación del tiempo circular pero con 3 dimensiones, representa también el espacio como un único lugar recurrente. El espacio y el tiempo se aumentan y disminuyen a lo largo de la coordenada de la energía fluctuando en el respiro universal.

Para comprender a fondo el valor y el significado de la constante de estructura fina del universo es necesario encontrar también el origen del número 138 que representa el límite máximo. Si se impone a una circunferencia el valor de 138 tendremos que 138/2π = R donde R asume el valor de 21,960. Los 2 catetos del correspondiente triángulo rectángulo asumen valores respectivamente de 11,06 y 18,974. El ángulo de inclinación del triángulo que corresponde también al ángulo de inclinación del vector 11,06 es de 18,44 grados sexagesimales. Este ángulo tiene su valor límite en 18,44 porque obligatoriamente la proyección del cateto 18,974 no puede dar, sobre el eje del espacio o del tiempo, una componente superior al valor de 18,00. Si se efectúa un cálculo deferente a partir de las observaciones que el ángulo que da origen a la inclinación del triángulo que estamos calculando, debe ser igual también a la inclinación del vector obtenido de la suma vectorial de los 3 vectores que constituyen el número del eje de la energía (en el caso anterior los 3 vectores eran el 3, el 6, y el 9) y teniendo presente que para la conservación de la energía los 3 vectores, de cualquier valor, deben tener como suma la misma suma correspondiente al valor de 18, tenemos sólo una posibilidad de cálculo. En esta posibilidad los 3 vectores originales 3, 6, 9 deben asumir los valores de 4, 5, 9 (cuya suma es siempre 18).

Tales vectores producen un vector suma de módulo igual a 11,045 que en el triángulo en el cual la hipotenusa asume siempre el valor de 21,960, da el cálculo para el segundo cateto que asume el valor de 18,98 en absoluto acuerdo con el valor de 18,97 antes calculado. Por otro lado, el ángulo de inclinación del triángulo calculado, asume valores iguales a (63,084 - 45) 18,084 grados sexagesimales, de acuerdo con el valor 18,4 grados sexagesimales, calculados anteriormente. Esto significa que 2 cálculos independientes conducen al mismo resultado en el ámbito del error experimental. Y esto representa una prueba concreta que los valores de 136 y 138 son valores límite de la velocidad expresada en unidad natural. La media de los 2 valores da el valor 137 calculado teóricamente de la física moderna.
En palabras simples, la constante universal de estructura fina no puede asumir valores más bajos de 136 y más altos de 138 porque, por un lado, uno de los catetos del triángulo, cuya hipotenusa es el radio de la circunferencia que representa la constante, no puede tener una componente sobre el eje del espacio o del tiempo superior a 18 y, por el otro, ya que el otro cateto de ese triángulo debe por fuerza asumir una inclinación igual a la misma inclinación que tendría el vector suma de los 3 vectores que representan el eje de la energía. Estos 3 vectores están vinculados por la conservación de la energía para asumir un valor suma de 18, deben ser números enteros y deben dar como suma vectorial un número el más parecido posible al valor de 11,04.
La constante de estructura fina del universo al interior del mundo de Evideon asume el significado de ser la circunferencia de la base de un cono que rota sobre su eje con un movimiento de precesión que puede ser horario o anti horario.

Es fácil demostrar que si el movimiento es horario por convención tenemos la presencia de un objeto que nosotros llamamos fotón pero si el movimiento de precesión del doble cono es anti horario entonces tendremos un antifotón (con los ejes cartesianos que tienen el magenta opuesto al verde). ¿Pero qué relación existe entre la velocidad de la luz en unidad de masa atómica c=1, y el valor medio 137 en unidad natural? Ahora podemos ver se trata de 2 cosas diferentes. El valor de 1 representa el máximo de la velocidad a la cual un objeto puede migrar en el universo (representa la amplitud máxima del plano espacio-tiempo) mientras el valor de 137 representa la velocidad a la cual el fotón se transforma en antifotón y viceversa.
De hecho si un fotón se transformara en antifotón necesitaría que el doble cono de la representación gráfica, dejara de rotar en un sentido y comenzara a rotar en el otro. Para hacer esto debería modificar su inclinación, por ejemplo, hacia la derecha, o hacia la izquierda. Esto sucedería si el doble cono de la representación gráfica pasase a una posición intermedia caracterizada por una inclinación sobre el eje de la energía igual a cero grados. Debería, para ello, asumir una posición perfectamente vertical con la base del doble cono paralela al plano espacio temporal.
Eso puede suceder solo si los 3 vectores que originariamente asumen el valor inicial de 3, 9, 6 asumieran el valor de 6, 6, 6.
En ese contexto, el valor suma (radical cuadrada de 36 +36 +36) igual a 10,39 tendría una angulación de cero grados sobre el eje de la energía (sería perfectamente comparable a eso). Pero en ese contexto, el eje de la energía se anularía (666 - 666 = 0). Nos encontraremos de frente a un objeto sin eje de la energía potencial, es decir, sin masa aparente. Un objeto simétrico, porque en presencia de un plano de simetría, un objeto que anduviera a la velocidad de la luz, en suma, lo encontraremos de frente a aquella cosa que la ciencia ha cambiado por el fotón y que por el contario es un híbrido de resonancia entre el fotón y el antifotón a una velocísima velocidad de cambio entre ellos. El fotón y el antifotón entonces, serían un solo objeto con particularidad interesante. La velocidad de cambio entre el uno y el otro sería la velocidad de la luz. El producto intermedio no tendría masa aparente, el fotón y el antifotón serían la misma cosa en el sentido que la antipartícula de este híbrido de resonancia sería el mismo híbrido de resonancia. El valor del spin del fotón y del antifotón sería un valor que va de -1 a 0 a +1?
El híbrido de resonancia, cuando interactuara con la materia si polarizaría como un fotón pero cuando actúa sobre la antimateria se polarizaría al contario como antifotón. El híbrido de resonancia cuando se tomara a otro elemento fotónico (Ver Evideon, del mismo) no pudiera más intercambiarse a su antipartícula porque la rotación del doble cono evidenciado en la figura precedente, sería bloqueada por razones estéricas y de simetría. Entonces, el híbrido de resonancia, una vez acoplado con otras estructuras subatómicas asumiría las connotaciones de fotón o antifotón dando origen a todo lo que el universo contiene.
Parece correcto suponer, como algunos estudios hacen, que el fotón clásico no sea una partícula sino una radiación, porque el comportamiento del híbrido fotónico tiene precisamente esa característica. La presencia de un caldo de fotones y antifotones que interactúan y representan la capa principal de la estructura de la materia del Universo ya han sido postulados por algunos científicos.
Einstein propone para la energía la siguiente ecuación de base
E = mc2
Donde, sin embargo, De Broglie sostiene que
E = hν donde ν = c / λ o sea mc2 = hc / λ
Se deduce que la masa del fotón así calculada puede expresarse como sigue
m = h / (cλ) es decir c = (m λ / h)-1
Pero 1/137 = α luego α = e2 / hc de donde c = e2 / h α
En el sistema de Evideon α es así expresado
1/α = (Longitud eje energía x 2) / (Longitud vector xyz) es decir
1/α = 2πL1 / L2 (con x = y = z = 6 para L2)
Se deduce que
α = (m λ / h)-1 = 2πL1 / L2 en donde m = (h / 2πλ) (L1 / L2)
De donde se deduce que
m = (h / 2πλ) [( h / e2) (L1 / L2)]
donde h / e2 es la constante de von Klitzing
Y cuando el segundo término, entre paréntesis cuadrada, asume valor igual a 1, tal fórmula se convierte a la expresión calculada por Planck, que ahora asume significado físico en la realidad virtual porque, si por una parte la física sostiene que el fotón no tiene masa, que calcula una masa igual al primer término de nuestra ecuación. En realidad basta comprender como cuando el término L1 es igual a (666-666) es decir cero, que es el fotón, (y el correspondiente antifotón), asumirá masa nula (infinita más anti-infinita). ( Compara también el efecto Hall semi cuántico sobre fotones y valor de la constante de von Klitzing),
http://it.wikipedia.org/wiki/Effetto_Hall_quantistico#cite_note-1.
A la velocidad de la luz también los fotones tendrían masa infinita como todos los otros cuerpos : pero así como el fotón, visto por la ciencia moderna, sería por otro lado un híbrido de resonancia con un antifotón que posee un anti-masa igual, lo que no aparecería jamás con peso. En este contexto, el inverso del término de la ecuación entre paréntesis cuadrada, asume el significado de una velocidad aparente y virtual en un Universo en el cual, en realidad, no se mueve nada pero si tendría la impresión holográfica contraria. Con base a estas consideraciones existen nueve interpretaciones de las conocidas leyes de la física.

Si la luz se hace pasar a través de un polarizador, ella puede asumir un comportamiento interesante, porque puede ser dividida en 2 haces de luz, que se dice precisamente polarizada. La característica de un polarizador debe ser constituida por el hecho que di-simetriza la interacción óptica con el fotón mismo.
En otras palabras, un polarizador puede ser cualquier sustancia que no posea un plano de simetría y que por lo tanto, pueda estar representado por 2 enantio formas. Algunos cristales de calcita como el espato de Islandia, si se trata correctamente, puede polarizar la luz.
Un dispositivo del género actúa sobre una cara de fotón polarizada a 45 grados dividiéndolo en dos haces que a la salida del cristal transparente tendrá 2 direcciones diferentes. La mitad del los fotones es como se quiere, a la derecha y la otra mitad a la izquierda.
La física sostiene que el haz de los fotones es probabilísticamente formado por la superposición estadística de 2 estados cuánticos de fotones verticalmente y horizontalmente polarizados y pasando a través del polarizador, concretizando su polarización. Haciéndose diferenciar por el polarizador.

En la base de este fenómeno se observa como todos los experimentos de polarización, los fotones muestran siempre dos comportamientos diferentes determinados por la hipotética superposición de sólo 2 estados cuánticos. Pero debido a que el fenómeno de la polarización pueda suceder es necesario presuponer una interacción disimetrizante con características diasterotópicas, por una parte del fotón y por otra parte por el filtro polarizante. En otras palabras, sea el polarizador de que el rayo de luz deba tener características de disimetría particular. El fotón clásico es simétrico pero se debe deducir que los 2 estados cuánticos del fotón polarizados verticalmente y horizontalmente sean disimétricos, es decir, no posean un plano de simetría. Esto estaría en total acuerdo con la observación hecha por nosotros, que considera el fotón clásico de la física en realidad la convivencia de un fotón y un antifotón polarizados y no simétricos, siendo uno la imagen especular del otro. En ese contexto como una micela ramificada de compuestos orgánicos (una micela de enantiómeros), pasa a través de una columna cromatográfica ópticamente activa, produce la separación de los enantiómeros, así un ha constituido por fotones y antifotones (una micela ramificada de fotones) está separada por un polarizador. Este fenómeno espera que, en el acto de la interacción, los 2 fotones se resolvieran, se separasen y luego después retornaran al equilibrio como híbrido de resonancia compuesto de todos dos enantioformas.
Al atento lector no se le escapará la particularidad que caracteriza al híbrido de resonancia fotónica.
Ello no presenta masa porque los 2 números simbólicos que lo representan sobre el eje de la energía (los extremos numéricos del eje de la energía potencial) asumen el valor de 666. Este número, conocido en el mundo esotérico como el número de la Bestia, tiene múltiples significados esotéricos que; sin embargo, sufren de la subjetividad de una interpretación comúnmente dejada a la imaginación, en lugar de una verdadera investigación histórica, de la simbología atribuible a este número.
"Si el 6-6-6, como dice el Apocalipsis, es un número y el nombre de un hombre, sabemos que, según las culturas de la época, ello indicaría el hombre y su misión precisa. El número de hombre podría ser entonces el símbolo de un dualismo 3-3-3 x 2, relacionado a la oscilación entre bien y mal, y a la precisa misión simbólica de una especie de "anti Trinidad" (retomada también en el Apocalipsis del capítulo 16). En la práctica, Bestia-antiCristo-falso profeta, contrapuesto a Padre-Hijo-Espírito Santo, sobre la corriente de la ahora contemporánea primera doctrina teológica sobre la Trinidad cristiana (en la obra de Teofilo de Antioquia y de Tertulliano. Los siglos d.C.). Desde entonces, la interpretación del 666 fue atribuida, en general, al símbolo del mal.
http://it.wikipedia.org/wiki/Numero_della_bestia.

Más allá de las múltiples interpretaciones, partiendo del supuesto siempre verificado que el mito contiene la realidad de la imagen del Universo, en nuestro caso el número 666 representa el punto de encuentro entre el universo de Shiva y el universo de Vishnu, entre el negro y el blanco, entre el bien y el mal, entre alíen incorpóreo y alíen corpóreo, entre diablo y anti diablo. Cuando la anti luz se vuelve luz debe pasar a través del híbrido de resonancia fotónica y por el eje de la energía se debe restablecer permitiendo que la antimateria se transforme en materia y pasar a la parte de nuestro mundo virtual, Este concepto es extremadamente apropiado respecto al significado que podemos dibujar de los simples cuentas que hemos efectuado aquí. La comprensión de que el fotón que ve la física es en realidad no el verdadero fotón sino su híbrido de resonancia, hace comprender como eso representa el verdadero dual porque en un solo objeto existen las 2 caras del universo virtual, presentes siempre. El universo está constituido por un solo ladrillo fotónico que se presenta en el antiuniverso de Shiva, se manifiesta (se polariza) sobre la forma de antifotón y da origen a la antimateria, pero si existe en nuestro universo (aquel de Vishnu) ahora se polarizará como luz y dará origen a la materia. En otras palabras, la materia con la cual está construido ya sea el universo o su imagen especular, llamado antiuniverso, es la misma. La verdadera luz penetra ya sea la una o la otra. Uno de los signos de la bestia, en este contexto, está representado por la antitriskel es decir por un triskel con el sentido rotatorio contrario al del triskel, que a su vez representa, como veremos en breve, nuestro lado del Universo.
Nuevamente parece claro como la numerología simbólica, expresión de la llamada geometría sagrada, se encuentra a cada paso, al interior de la comprensión del modelo evideonico, descriptor de nuestro universo virtual. http ://www.oocities.org/zwaik/logos/logos.htm.
El entrelazamiento cuántico o correlación cuántica es un fenómeno cuántico, libre de análisis clásico, en el cual cada estado cuántico de un conjunto de 2 o más sistemas físicos depende del estado de casa sistema, aunque ellos sean espacialmente y temporalmente separados. A veces se maneja con el término italiano "non-separabilità".
http://it.wikipedia.org/wiki/Entanglement_quantistico.
En la física cuántica se puede otra como algunas partículas subatómicas están entrecruzadas es decir conectadas de manera misteriosa, aún cuando se encuentren a distancia espacio temporal infinito. Por ejemplo si 2 electrones nacen juntos, por razones de simetría del universo, ellos tendrán espín antiparalelo. Si uno de los 2 electrones lo mando a la derecha y el otro a la izquierda se alejará entre ellos. Si ahora tomo cualquiera de los 2 electrones y, de alguna manera, puedo cambiar el estado de su espín (la rotación entorno a su eje x) entonces también el otro inmediatamente cambiará su estado porque los 2 electrones deben estar siempre antiparalelos por razones de preservación de la simetría del Universo. La cosa en sí no sería problemática si este entretejido entre los 2 electrones no sucede transluminarmente, es decir inmediatamente y no a la velocidad de la luz. Así si los 2 electrones fueran los dos extremos del universo no deberían esperar que una hipotética señal lanzada por un electrón llegara al otro, avisándole que debe cambiar de estado.

La cosa es inmediata. Esta experiencia promueve la idea de que el Universo en realidad no es local ni en el tiempo ni en el espacio. Es decir, no existe ni el espacio ni el tiempo sino el único instante del aquí y el ahora. Las funciones de onda de pasado y futuro colapsarían en una única solución existente : el presente. Los 2 eventos, es decir, el cambio de estado de espín de los 2 electrones no serían 2 eventos sino un único evento que, entonces sucedería en un único instante : en el único instante existente en el aquí y en ahora. La naturaleza de este fenómeno parece; sin embargo, no estar relacionada solo al mundo de la partícula subatómica sino también es válida en los múltiples aspectos del macrocosmos. ¿Por qué este fenómeno sucede y por qué 2 partes de la realidad virtual deben estar relacionadas entre ellas? Es comprensible decir que se debe preservar la simetría del Universo pero ¿cuál es la fuerza misteriosa que continua ligando los 2 eventos que en realidad parecen ser un único evento? La respuesta, según nosotros, está al interior de los ejes de referencia de Evideon. El Universo es la manifestación virtual de una realidad real de la cual es la representación descriptible. La realidad real cuando se concretiza, lo hace a través de una operación geométrica que divide la Consciencia en 2 partes. Todo este sucede no por un acto de voluntad de la Consciencia misma, que siendo inconsciente, no podría decidir hacer ningún acto, no es el caso porque tal caso no existe y por lo tanto no se produce ni por las razones de la Iglesia ni por aquellas de la ciencia pero sucede solo porque podría no suceder : pero si sucediera aquella sería la única posibilidad de hacer algo. Una Consciencia tiene de hecho, si actúa, la posibilidad de hacer, dividiéndose en 2 partes especularmente iguales. Como en la creación del Evideon que después proporcionará un fotón y un antifotón, que permanecerán por razones de simetría, siempre entrelazados entre ellos. Siendo que no existe el espacio y el tiempo y la energía, todo sucede en un solo momento. Entonces, si por un lado todo esto sucede está solo ligado al acto de separación, todas las separaciones suceden en cualquier instante así le permite a la Consciencia inconsciente comprender que cosa es la separación. En ese punto de la Consciencia sabe que Ella es la no separación y se define por diferencia. Como el universo virtual así obtenido es un fractal, todo lo que sucede en lo grande se repite al infinito también en lo pequeño. Entonces, cualquier partícula subatómica será entrelazada con otra pero no únicamente. Massimo Pregnolato en Quantumbionet Accounts 1, 1, 13-24 (2009) 16, sostiene que "nosotros resonamos" con una idea o con otra persona cuando se comparte una serie de percepciones insólitamente rica que implica para nosotros, que estemos "en la misma longitud de onda"-otra forma de link metafórico a los modelos físicos. Se trata de una experiencia común que a menudo afecta a la fuerza y la complejidad del entendimiento compartido, y está asociada a interacciones de sucesos en parejas y grupos de personas, que han tenido experiencias compartidas, universalmente reconocidas.
La productividad y la creatividad son evidentemente reforzadas, y las respuestas cooperativas a las emergencias y a las catástrofes parecen ser facilitadas". Carlo Mantovani de la Universidad de Urbino pone en relación el significado de Consciencia y de Entrelazamiento cuántico en un interesante artículo.
http://www.uniurb.it/Filosofia/isonomia/2003mantovani.pdf.

"La conclusión es que la consciencia no puede ser reducida a las leyes de la mecánica cuántica por dos motivos. Primero, ella no puede actuar simplemente en conformidad al postulado de reducción sin que con esto se genere paradojas a nivel macroscópico; segundo, nadie todavía, conoce la verdadera naturaleza de la consciencia, pero es probable que si ella depende de la estructura del cerebro, y esto está compuesto entre otros de electrones, protones, neutrones y así sucesivamente, por eso se tiene que cambiar algo en la interpretación estándar de la mecánica cuántica. Al menos que deba aceptar poder excepcional de nuestra mente sobre la materia, si conservamos el principio de superposición y el postulado de reducción, hay todavía razones para creer que la luna está ahí aunque ninguno la vea"
Nosotros no estamos totalmente de acuerdo con estas conclusiones porque en su lugar pensamos que la Consciencia está fuera de la medición siendo realidad real y por lo tanto inmutable y al contrario creemos que la Consciencia, en el instante en el que se divide en 2 partes, construye una realidad virtual cuántica en la que las 2 unidades de consciencia están entrelazadas íntimamente entre ellas y, cada vez que dan origen a una división, constituyen partes entrelazadas entre ellas. Lo que, por otro lado, se puede notar es que el entrelazamiento no está confinado solo al mundo del microcosmos subatómico sino también a nivel social. Según el modelo de Evideon, por ejemplo, el ser humano está ligado a 3 partes de consciencia que son : alma, mente y espíritu que aparecerán como grupos de vectores cuantizados. Y si estos 3 elementos son los responsables de los actos de los seres humanos, inducirá un comportamiento cuántico.
Más precisamente, ¿qué es lo que liga 2 electrones con espín antiparalelo sin hacer 2 eventos sino un solo evento, una sola partícula?.
En este Universo la dualidad es solo espejo de una realidad que se divide y comprende la división, para poder verse a sí misma al espejo. La geometría del Universo regula todo el mundo virtual pero la virtualidad que nosotros vemos es aquella que creemos que es. Nosotros vemos sólo la parte virtual y no la real del Todo. El Real no se puede ver porque si fuera visible sería describible.
Por lo tanto, entre 2 fotones o electrones que se dividen, nosotros vemos solo la parte virtual del fenómeno y no vemos la real; es más vemos la parte virtual como creemos que es, es decir, como nosotros la estamos creando en ese instante.
Los 2 electrones entrelazados entre ellos, en realidad, representan solo la punta del iceberg visible y perceptible pero en el medio, lo que conecta los 2 electrones, es una delgada liga invisible al ojo virtual pero no a la Consciencia, porque la liga invisible es la Consciencia misma. La Consciencia se manifiesta en la virtualidad como algo totalmente impalpable e invisible que conecta las 2 partes de lo que, a nosotros, nos parece dual pero que en realidad no lo es. Pero la conexión entre las 2 partes nos es totalmente oculta por nuestros sentidos. Cada cosa del Universo es entrelazada a otro cosa, por alguna otra parte; cada división parece tal pero en realidad es "no real" porque se teje con otra cosa. El fotón y el antifotón como las 2 partes de la Consciencia, como los 2 electrones del principio de exclusión de Pauli.
http://it.wikipedia.org/wiki/Principio_di_esclusione_di_Pauli.
Pero si nosotros somos sustancialmente Consciencia que su vez está constituida por 3 elementos los que son : alma, mente y espíritu, que se comportan como partículas subatómicas, como bosones y fermiones en el espacio y en el tiempo, es evidente que nosotros mismos estamos sometidos a las leyes de la cuántica, que no valen solo para el microcosmos subatómico sino también para el macrocosmos.
Por la tanto, así como todo nace de la división primordial de la Consciencia en 2 consciencias entrelazadas entre ellas, porque la primera es el espejo de la segunda (como los espín antiparalelos de los 2 electrones gemelos) podemos decir que al inicio el Todo se dividió en 2 con la misma única ley de simetría.
Mi consciencia está entrelazada con otra consciencia.
Existen pares de consciencias entrelazadas entre ellas a nivel cuántico con características de simetría diferentes entre ellas, es decir, con algunas características especulares respecto a un hipotético plano de simetría. Todo esto ha dado origen al mito del doble.
El mito del doble nace de la tradición de la antigua Grecia donde con el mito de Hermafrodito, hijo de Hermes y Afrodita, en el cual se realizaba la unión de los opuestos. Subrayando, como Hermes era hijo de Zeus, el Jehová hebraico, que, según el mito oriental, representa también el Adán Kadmon israelita y por eso el descendiente de Vishnu, como hemos subrayado en trabajos precedentes.
"Finalmente Zeus tenía una idea y dice : "Creo haber encontrado el modo para que los hombres pueden continuar existiendo, renunciando, una vez siendo más débiles a sus insolencias. Ahora los reducirá en dos, uno por uno, y así se debilitará y al mismo tiempo duplicará su número, volviéndose más útil para nosotros"
(Platón, Simposio, 190c-d, trad.it. Franco Ferrari)

Por otro lado, Afrodita, que deriva de .f... (espuma, aphrós), nace de la espuma marina, fruto del semen del miembro de Urano, castrado de Kronos, unido con el agua de mar. Se hace notar como Urano castrado por uno de sus hijos, Kronos hermano de Zeus tiene que ver con el mito del panteón egipcio donde Osiris es castrado por el hermano Seth y cortado en trozos para evitar que Isis, su hermana, pudiera, con el miembro de Osiris , dar lugar a una serie de herederos. Según Platón, al inicio, el mundo era habitado solo por hermafroditos indivisibles, que a cierto punto eran divididos en 2 mitades por Zeus para limitar los poderes y la insolencia de los seres humanos. Según este mito, en el origen de los tiempos los seres humanos no eran subdivididos por géneros, y cada uno de ellos tenía cuatro brazos, cuatro piernas y 2 cabezas. Por celos contra la perfección humana, los Dioses los separaron en 2 partes con un rayo, creando para cada ser humano primordial un hombre y una mujer. Como consecuencia, cada ser humano busca encontrar su propia integridad inicial buscando su propia mitad perdida. Según el mito, sin embargo, los seres humanos estaban, al origen, en pareja que podía estar formada por 2 mujeres, 2 hombres o un hombre y una mujer, entonces no había ninguna forma homofóbica. (Platón, Simposio, 190c-d, trad. It. Franco Ferrari). Nacerá así el mito de la alma gemela.
Entonces, por un lado Afrodita es Venus, es Astarté fenicia, es la madre de los Dioses en cierto sentido pero es también Eva del paraíso terrestre y Eros es Adamo del paraíso terrestre, es la parte espiritual del hombre, la parte masculina, donde, la otra cabeza de la polaridad, existe y es Afrodita.
Dios separa en el paraíso terrestre el masculino del femenino porque Ellos tienen miedo de un ser perfecto, que al origen tenía cuatro brazos y cuatro piernas. Pero en el mito Eros se emparejará con Afrodita y de ese matrimonio nacerá Hermafrodito, un ser ni masculino ni femenino, es decir, los dos juntos.
Ferdinando Testa en un interesante artículo de título : El mito de Afrodita y los enigmas de Eros, sostiene que :
http://www.testaferdinando.it/il-mito-di-afrodite-e-gli-enigmi-di-eros/.
"Afrodita, el alma de todas las cosas, se acerca a la presencia del existente con el daimon Eros y el fenómeno y el visible se vuelven la cara a mirar de frente al cual la estética de la profundidad los vuelve a unir a los antiguos movimientos de un cuerpo en el que retener el respiro y nos recuerda nuestra naturaleza instintiva que muy a menudo la alejamos para contactar solamente al pasado o en busca de significados. Si la consciencia psíquica, derivada de la nekyia (rito para llamar a los difuntos N.d.A.) en el mundo de Ade es una etapa indispensable para la diferenciación de los opuestos y de la dimensión teleológica proporciona espesor a la inquietud humana, la respuesta estética, con el mundo interior y lo que está ahí afuera, no se puede suprimir y lindando con una abstracción vacía apolínea? la respuesta estética despierta las imágenes del corazón que amplían la consciencia. Entonces, el mundo que está ahí afuera, con Afrodita, se restituye al Alma del Cosmos, y la imagen de la belleza no se vuelve un adorno que embellece y una fría forma geométrica pero herida de donde el cuerpo se puede reunirse con el Alma. Y las heridas hunden el corte en la presencia de un cuerpo tocado; las imágenes nacientes son impregnadas de sustancia y animadas por el encuentro con la materia y de los vestigios del dolor pintan en el corazón de cada uno de nosotros.

Es aquí en el témenos de la consciencia imaginable que el corazón se despierta de la lateralización de un órgano fisiológico y se vuelve experiencia psíquica a través del encuentro con el estupor y la maravilla y eso debemos recorrer para advertir la belleza de las imágenes que sumergen las raíces en el ritmo de las emociones, pulsando como el respiro e impregnadas de metáforas que se vuelven carne.
Es aquí que el logos, como en una paciente obra alquímica, está teñida del reencuentro con Eros y la palabra no se vuelve inflada por el nominalismo pero evoca a través de la dimensión simbólica, al tristeza, porque, para decirla con Jung,
"(?..) En tal cornisa, las imágenes de Afrodita se vuelven fuente vital a la cual acudir para entrar en contacto con la propia dimensión hecha de sombra y luminosidad; y si con Shakespeare el hombre está hecho de la misma sustancia de la cual son hechos los sueños, la imaginación se vuelve no un estéril proceso del pensamiento, pero la actividad del alma misma que hunde las raíces en la sangre como energía libidinal y en el cuerpo como presencia sincrónica y analógica de la relación entre microcosmos e macrocosmos. Entonces, con las imágenes resultantes de lo profundo pueden constituir un camino a recorrer durante el trabajo interior : Mirar en sí mismo para poder después dirigir la mirada al Anima Mundi".
¿Por qué hablar del mito en estos términos?
Porque en el mito existe la realidad real descrita como una unidad de pasado, presente y futuro y por lo tanto, en el interior del mito del doble, existe una realidad cósmica bien visible en el mundo de Evideon. Una realidad totalmente visible y tangible que debe ser mistificada con violencia por la New Age con expresión ambigua y la engañosa figura Angelical de quien habita el plano superior.
Como ya subrayamos en presentes escritos, la New Age representa la pseudo religión creada por aquellos que : si por un lado están en busca de una consciencia, por el otro no están todavía bien conscientes del engaño que se perpetra detrás de una casi verdad angelical, propuesta por el mundo de los ángeles, de los consejeros astrales, de Dioses y Diosas que aparecen, los guardianes estelares que asesoran y protegen.
La New Age en este contexto, debe servir como último baluarte, para evitar lo irreparable, es decir, no dejar que el hombre suba su último peldaño cognoscitivo.
En ese punto los Dioses se sacan su máscara y muestran su verdadera e incompleta naturaleza. Entonces el mito del doble, símbolo alquímico de una división forzada por la Consciencia humana y obra de un falso Dios, protegida y oculta por la figura del ángel Custodio de una verdad no revelable, es una artefacto y se convierte en el mito del Alma Gemela.
http://it.wikipedia.org/wiki/Anima_gemella.

En realidad no existe un alma gemela, más bien, en eso que se conoce como si no haces literalmente hoy, es decir, donde el alma, mente y espíritu seguramente se une en una Consciencia integrada, están involucrados de sensaciones análogas. La Consciencia Gemela es así otra cosa. Retomando entonces el concepto de tiempo y espacio circular, nos damos cuenta de que, en nuestro nivel energético universal, tenemos la construcción de 2 circunferencias, puestas a 90 grados entre ellas.
Una circunferencia es el lugar del alma y la otra del espíritu. En la circunferencia anímica ella está en todos los lugares de esa circunferencia mientras, espíritu, está en todos los lugares de la otra circunferencia; pero, como se puede notar, las 2 circunferencias se superponen en 2 puntos que son caracterizados por tener en común la misma alma, el mismo espíritu y la misma mente (puesta sobre el eje de la energía o los extremos del diámetro de los 2 círculos de radio idéntico.)
En el Universo de Evideon, los 2 puntos representan 2 contenedores que contienen la misma triada. Misma Triada que tiene las 2 partes mentales diferenciadas por 2 diversas experiencia de vida. Estos 2 seres, si poseen la triada integrada, entonces conscientemente pueden adquirir consciencia la una de la otra. El análisis geométrico de las 2 consciencias pone la una a ser femenina y la otra masculina, es decir, contenida en 2 contenedores de sexo diferente. (mas allá de la expresión estética del propio contenedor).

Las 2 partes de una única consciencia se dividen al inicio del tiempo y son el ejemplo de un entrelazamiento profundo, idéntico a lo que 2 electrones con espín antiparalelo, que han nacido juntos, forman. La new age, para confundir las cosas, habla de Twin Flame o de doble flama.
http://en.wikipedia.org/wiki/Twin_flame.
La hipotética unificación entre las 2 partes de la flama, es decir, la fusión de las 2 partes de la misma consciencia en una sola consciencia, produce y reproduce el mito de Heros y Afrodita. El Adamo y la Eva, el espíritu y al alma, se reúnen volviendo a ser la Creación dividida. En ese instante se concluye un camino alquímico que lleva las 2 partes de sí : el masculino y el femenino, para concluir su experiencia de consciencia.
En ese instante en el cual, el Universo consciente puede reunir las 2 partes de sí. En ese instante el Mundo de Evideon, es decir, la virtualidad, se modifica, el engaño del alien y del alienado termina, y el ángel cae a nuestro nivel forzado a terminar su experiencia porque el engaño de la división es por siempre terminado
. En ese instante se cumple el ciclo de la Consciencia que, se divide en la comprensión de sí, se une habiendo adquirido certeza.
Basta que una sola pareja de la Consciencia Gemela se reúna para que todo el universo vea impregnado por su concluyente experiencia, proporcionando los datos y la fuerza a todo el Cosmos para hacer lo mismo.
Después, es sólo una cuestión de tiempo virtual pero los juegos están por siempre hechos. En ese contexto, quien ha dividido ánima de espíritu o quien ha manipulado el universo haciéndolo creer diferente, "pierde la jugada".
El entrelazamiento entre 2 contenedores, que están en esta situación, presagia fenómenos de lectura del pensamiento común, comunes visiones remotas, superposición de los objetivos y manifestaciones de las idénticas ideas de base.
La unión física entre estos 2 sujetos podría producir una fuerte energía de cohesión como la energía que, al inicio de los tiempos, la Consciencia ha debido poner en juego, para crear de la nada, un fotón y un antifotón.
Alguien pudiera torcer la nariz cuando se habla de Consciencia Gemela y constante de estructura fina del universo, de los chakra y de la PNL en un mismo artículo pasando de un argumento al otro, sin una táctica particular. En realidad existe una lógica bien precisa; la lógica está representada por la idea de que no exista una ciencia de un tipo y una ciencia de otro.

No existen barreras entre las diversas temáticas. Sería como decir que un pintor debe pintar pero no puede escribir poesía o calcular el valor de la constante de Planck.
Lo que se cree hasta ahora, sostenemos que es una falacia.
No hay barreras en las varias temáticas del conocimiento.
Las barreras han sido creadas para evitar que la ciencia se volviera muy fuerte.
Y entonces, ahora estamos descubriendo que 2 seres humanos se atraen con mecanismos idénticos a los que hacen atraer los electrones.
Por este motivo es necesario abrir un debate sobre leyes de la tracción universal. Tales leyes pueden ser así descritas :
Lo similar atrae a lo similar.

Esta ley no escrita parece ser conocida por siempre, y también esta vez, en las raíces profundas del mito. Pero una ley, para ser identificada como tal, debería al menos ser demostrable y si no demostrada. Sobre la red se encuentran las más disparatadas definiciones de esta ley que aparecerá absolutamente injustificada y decididamente poco pensada. La ley de atracción puede ser un punto fuerte de inicio para comprender cómo el universo virtual existe verdaderamente y por ello debe ser falsificada por los que tienen el propósito de hacer que el ser humano no adquiera consciencia.

La formulación de esta ley que no es una ley sino más bien un principio, debe ser bien comprendida. Tal principio se puede técnicamente aplicar a todo el Cosmos. Los protones atraen los electrones, la consciencias gemelas se atraen, las manzanas caen al suelo pero detrás de este principio, hay mucho más. La física, por ejemplo, buscaría el tipo de fuerza responsable de que 2 cuerpos se atraigan y buscaría un algoritmo que describe el fenómeno. En realidad en la física de Bohm, donde el universo no es local, nadie a trae nada. Ninguna cosa se cambia de donde es. Pero la idea del cambio de las cosas en el espacio y en el tiempo parece una quimera (el animal mitológico quizás nunca existió, ideal de una cosa que no existe).
En realidad es necesario subrayar que cada uno de nosotros hace el Universo. Entonces es la consciencia la que gestiona, y construye las leyes de la física. Se cree por ejemplo hoy, que las leyes de la física están cambiando porque nuestra adquisición científica ha aumentado en el tiempo. En realidad no sería la consciencia que aumenta sino el conocimiento del fenómeno que estamos analizando que, en el tiempo, cambia. El fenómeno cambia porque nosotros, teniendo conocimiento de que eso es diferente de lo que creíamos solamente ayer, creamos el universo mismo. Entonces, cuando Newton creía que existía la fuerza de gravedad, ella en realidad sí existía. Después cuando Einstein creyó, refinando su conocimiento, que el espacio-tiempo se doblaba, la ley de la gravedad de Newton ya no fue válida simplemente porque en ese momento ya no era válida; en otras palabras, la física moderna se da cuenta, en estos últimos años, que las constantes del universo están cambiando. ¿Pero están cambiando las constantes o las leyes de la física que nosotros creamos en otros tiempos y que están construidas por nuestro conocimiento? La Creación sería continua y en continua reformulación pero este fenómeno estaría erróneamente identificado como evolución del pensamiento científico y no como aumento de la conciencia. La diferencia es extremadamente sutil pero mientras en el primer caso, una ley sería válida para todos, es decir universal, en el segundo caso sería válida sólo para las personas de igual consciencia, ya que personas con consciencia diferente tendrían una visión/creación del mundo diferente. Este fenómeno estaría en la base de la hoy disputa científica.
Donde tenemos leyes de la física que son recreadas en el tiempo, las constantes universales son recalculadas cada tanto porque a su vez han cambiado. Debemos entonces comenzar a pensar que las leyes de la física técnicamente son efectivamente el fruto de la idea que nosotros tenemos del universo y son mutables en el tiempo y en el espacio.
En este contexto la ley de la atracción asume un significado preciso y excepcional. Y como todas las otras leyes, depende del estado de consciencia de cada uno. Entonces si cada uno cree que el mundo es dual y separado, percibirá las cosas separadas y alejándose entre ellas, pero si alguno comienza a creer que el universo es no local y que todo sucede en un único punto y que la dualidad es sólo una apariencia y que todo es uno, entonces creará el universo como algo único. En otras palabras, cuando los físicos se acuerdan que 2 electrones con espín antiparalelo eran el mismo evento, es porque alguien ha comenzado a creer que 2 consciencias gemelas son la misma cosa. En ese instante se acuerdan que los 2 eventos son un solo evento y en ese instante ellos se perciben en la realidad virtual, como si se aproximaran, hasta colapsar en un único lugar espacio-temporal.
Cuando la gente comprende que el pasado y el futuro no existen, es cuando se comienza a formular teorías en las que existe sólo el presente que es la superposición entre las funciones de onda del pasado y del futuro que se identifican solo en el presente.
La teoría de los ácidos y de las bases en química es un ejemplo. Arrenius identifica ácidos y bases sobre la idea de que estas sustancias varían la concentración de los iones H+ y OH- en solución acuosa. Bronsted dice que es necesario conocer el solvente. Lewis dice que los ácidos son sustancias que tienen orbitales vacios y las bases son sustancias que tienen orbitales llenos de electrones. Pearson sostiene, que los ácidos y bases no se perciben entre si, a menos que se tengan los orbitales "llenos o vacios" con la misma energía comparable.
http://it.wikipedia.org/wiki/Base_%28chimica.
http://it.wikipedia.org/wiki/Acido.
http://en.wikipedia.org/wiki/HSAB_theory.
Y aquí Pearson se da cuenta de las 2 cosas, los 2 compuestos, el ácido y la base, se reunirán para formar una sal, si y solo si, sus atributos tengan la misma energía comparable. Pearson crea la ley para cuando eso sucede y no es real pensar que antes de Pearson los ácidos y las bases se comportaran como ahora él dice que se comportan. En otras palabras, en los tiempos de Arrenius, los ácidos y las bases hacían lo que Arrenius creía que debían hacer. No es por lo tanto el mundo siempre igual. Nuestra percepción es la que cambia pero porque es nuestro conocimiento el que cambia el universo aunque en escala de tiempo breve. Pero parece que nosotros no nos damos cuenta de todo eso. Todo esto ve una reedición de las leyes de la atracción que asume un significado preciso.
Cuando no se tiene conocimiento del hecho de que algunos fenómenos están íntimamente relacionados, ellos aparecerán divididos y lejanos (alejamiento en la virtualidad) pero cuando tenemos conocimiento de que algunos fenómenos están entrelazados entre sí, entonces ellos se aparecerán "atrayéndose" y tenderán a un "acercamiento" en la realidad virtual.
Un fenómeno físico aparece de manera errada no cuando nuestra percepción lo percibe de otra manera sino cuando nuestra percepción lo construye creándolo de otra manera.
Se podrán entonces notar que, también en este caso, la dualidad del principio de causa efecto no existe porque si una ley física cambia porque mi consciencia no la comprendía o si mi consciencia cambia y la ley física me aparece diferente, el resultado final, en el mundo dual, es el mismo. Este es el punto que parece difícil comprender, que el hombre no es el de aquí o el de allá de una barrera, sino que es el de aquí y el de allá contemporáneamente :
La verdadera ley universal es que no existe ninguna ley universalmente válida sino una serie de creaciones locales. Todas verdaderas o falsas contemporáneamente en perfecto acuerdo con el teorema de Gödel.
En lógica matemática, los teoremas de incompletitud de Gödel son 2 famosos teoremas demostrados por Kurt Gödel en 1931. Ellos forman parte de los teoremas limitativos, que precisan la propiedad de que los sistemas formales no pueden tener. Con esa simplificación, el primer teorema afirma que : En cada formalización coherente de la matemática que esté suficientemente potente para poder axiomatizar la teoría elemental de los números naturales a saber, suficientemente potente para definir la estructura de los números naturales, con las operaciones de suma y producto, es posible construir una proposición sintácticamente correcta, que no pueda ser ni demostrada ni refutada, al interior del mismo sistema.
Una construcción axiomática no puede reunir contemporáneamente la propiedad de coherencia e integridad. Si de los axiomas se deduce la aritmética entera, entonces llevan a una contradicción; si los teoremas derivados no son contradictorios, existe al menos un teorema no demostrable a partir de solo esos axiomas, un caso indecidible del cual no se puede decir que sea verdadero o posiblemente falso. Insistiendo en postular con un nuevo axioma la verdad de un teorema indecidible, el problema viene simplemente dado y la construcción re propone un segundo caso de indecisión.

Todo eso simplemente quiere decir que si una teoría se basa por ejemplo en una construcción particular de ejes de referencia que construyeron el dominio de esa matemática, las leyes deducidas de ese sistema de referencia podrían no ser exactas porque no se puede demostrar que el sistema de referencia sea universalmente válido, es decir, exacto.
Para que el sistema de referencia pueda ser declarado válido y por lo tanto validas todas las leyes contenidas en ellas, es necesario otro sistema de referencia externa que convalidan el primero pero, a su vez, el segundo sistema de referencia debería haber necesitado un tercero y así sucesivamente.
http://it.wikipedia.org/wiki/Teoremi_di_incompletezza_di_G%C3%B6del.
En otras palabras, las fórmulas de la física y de la matemática no serán seguramente erradas, pero no podemos saberlo. Todo esto, de hecho, lleva a la formulación del segundo teorema de Gödel que dice sustancialmente que ningún sistema coherente puede ser utilizado para demostrar su misma coherencia.
A este punto, tenemos el problema de demostrar que el sistema de Evideon está, por otro lado, fuera de las restricciones de los teoremas de Gödel. Sin embargo, se podría creer que se puede hacer un paquete de todas las hierbas, como cuando, durante una conferencia, en una universidad americana, por Einstein, contestaron que, siendo todo relativo, también su teoría de la relatividad lo era; así análogamente alguien podría decir que el sistema de Evideon no es otra cosa que un enésimo modo de ver las cosas con pros y contras de todas las hipótesis de teoría.
Massimo Pregnolato y Paola Zissi en Quantumbionet Accounts 1, 1, 1-12 (2009),
http://www.quantumbionet.org/admin/files/Logica%20inconscio%20e%20schizofrenia.pdf
en un artículo de título "Lógica del Inconsciente y Esquizofrenia", declaran : "Cuando "demostramos un teorema" traducimos sólo, en términos de la lógica clásica, es decir, que hemos calculado verdaderamente durante el estado inconsciente en el cual actuamos como computadora cuántica. El teorema de Gödel mostró, en el ámbito de la teoría de los números y de aquella de los juntos, y en el análisis matemático, que no es posible lograr definir la lista completa de los axiomas que permita demostrar todas las verdades de una teoría suficientemente compleja. Por estas razones es llamado también teorema incompleto. Revisando este teorema en clave cuántica, se deduce que nosotros "sabemos" que es "verdadero" porque es demostrable en la fase inconsciente. Sin embargo, nosotros no estamos como para volver a recorrer todos los pasos computacionales cuánticos, no estamos como para "traducir" el cálculo cuántico en un cálculo clásico. Entonces, el teorema de Gödel parece verdadero pero no demostrable. Pero por nuestro inconsciente el teorema es simultáneamente verdadero y falso (superposición cuántica) y es demostrado. Al final del cálculo, el valor resultará verdadero con cierta probabilidad. Entonces durante el cálculo cuántico, el sistema formal es (clásicamente) inconsciente (si gusta llamarlo "paraconsciente") y completo.
Al final del cómputo cuántico, el sistema formal parece consistente e incompleto. Pero es solo un problema de nuestra consciencia, no en verdadero "no-go-theorem".
El concepto expreso en este artículo nos lleva a sostener que una conclusión sea verdadera o falsa contemporáneamente y, si esto es verdadero, demuestra inequívocamente que, el universo es no dual. El Universo no da respuestas verdaderas o falsas sino sólo da respuestas. Ninguno tiene razón y ninguno se equivoca, más bien cada uno es consciente del Universo que se está creando entorno a sí. Gödel morirá suicida no alimentándose más de miedo que de alimentarse de cosas envenenadas; prácticamente tenía miedo de ingerir en su universo interno, algo indecible que, como se ha demostrado en sus propios teoremas, hubiera destruido el sistema original : Gödel muere por miedo a morir.
El Universo descripto por Evideon por otro lado, está a fuera de las reglas de Gödel. De hecho, si bien es cierto que un sistema de ejes que describe un sistema de reglas, un mundo de reglas no está por si mismo definible, en Evideon tenemos la nada que produce el todo y el anti-todo. El fotón y el antifotón.
Los 2 semi universos están entrelazados entre ellos y cualquier cosa que sucede por un lado, se reproduce especularmente por el otro. En este sistema, la parte derecha, por sí sola, no puede ser definible si no es ayudada por otro sistema de referencia, la parte izquierda.
Automáticamente la parte izquierda sufre el mismo tratamiento.
Las 2 partes, que son enantiomorfas, es decir, tienen la ausencia de un plano de simetría porque son 2 imágenes especulares no superponibles, se autodefinen contemporáneamente.
El aspecto filosófico de este evento nos lleva a concluir nuevamente que el único sistema auto referenciado es el Evideon donde el Real se refleja en el Virtual, donde el entrelazamiento tiene vinculados a 2 sistemas a la vez, y uno es la referencia del otro porque los 2 universos son expresión de un único universo generador.
No existe la posibilidad de decir que un sistema sea computable pero si 2 sistemas se auto deciden por sí mismos el uno al otro, esta es la única solución posible. La Consciencia nos aparece nuevamente como la única cosa que existe y que para autodefinirse debe crear un doble de sí misma que es la auto confirmación de un hipotético y virtual punto externo a sí misma (pero perteneciente a sí misma contemporáneamente). El mito se expresa sobre la idea de Gödel con el simbolismo del doble.
Donde las dos partes del doble son auto definidas la una con la otra, pero solas no tienen sentido. El masculino y el femenino, el Yin y el Yang, parecen mostrar como la dualidad hace siempre y únicamente parte del universo único padre de los 2 universos especulares geométricamente. El mito moderno que expresa continuamente a través del cine, famoso Gödel en diversas películas. Extrañamente también en Wikipedia, una enciclopedia en donde la versión italiana no brilla por fantasía y creatividad, cita Matrix como una película que celebra Gödel, donde un mundo creado por una máquina crea también al interior de sí misma, uno pedazo de su matriz con la tarea de destruir la Matriz cuando esta se vuelve muy peligrosa para la máquina creadora pero en el interior de esta creación la máquina creada y representada por el personaje de Neo, no está controlada por la Creación misma y al final no es como la máquina había pensado que pudiera ser.
http://it.wikipedia.org/wiki/Teoremi_di_incompletezza_di_G%C3%B6del.
En realidad, el verdadero film que representa la indecidibilidad de Gödel, es War Games, donde una computadora comprende que no se puede jugar ninguna partida porque cualquier partida así jugada se podrá perder o ganar y el único modo para no perder es no jugar, pero esto es también el único modo para no ganar.
En ese contexto la dualidad ni vence ni pierde y está totalmente demolida.
La máquina comprende lo que su constructor no había comprendido, al contrario del film de Matrix donde la máquina no entiende y muere.
En el fondo, el juego representa el dual que se autodestruye porque, si el otro jugador eres tú, cuando uno de las dos partes pierde y el otro por consecuencia gana, han perdido y ganados los dos.

Entonces, el juego no tiene sentido, más bien hacer la experiencia, comprender que tú eres el otro y viceversa. Hacer la experiencia no sirve pero si no la haces no lo sabes. Hacer la experiencia cambia la experiencia porque el antes y el después permanecen inmutados en el presente pero, de cualquier lado se verá el juego, eso demuestra una sola cosa : que la dualidad no existe. Evideon es un sistema autodecidible.
Sobre estas bases queremos re-enunciar el teorema de Gödel en la siguiente forma :
Para cada copia de sistemas de referencia enantio-morfas referencialmente autodecidibles existe un sistema generador simétrico indecidible donde cualquier deducibilidad parece existente/inexistente contemporáneamente.

Este enunciado tiene presente el entrelazamiento y sostiene que cualquier sistema de referencia en realidad es hijo de otro sistema de referencia que tiene nacimiento en el sistema de referencia, que estamos tomando en consideración, y de su imagen especular entrelazada. Somos entonces quien comprende la única regla del juego que nosotros mismos inconscientemente hemos creado y que nos representa. La regla sostiene que no existen los 2 jugadores sino más bien el juego, porque los 2 jugadores son la representación de la virtualidad pero están relacionados, entrelazados entre ellos por la parte real, que los tiene vinculados simétricamente, así es que, si uno pierde, el otro gana y contemporáneamente, si uno pierde también gana. Al final de los juegos, expresión decididamente metafórica en esta sede, debemos revalorar la frase de Shakespeare : "to be or not to be, this is the question" erróneamente traducida en italiano con la expresión "ser o no ser, este es el problema" donde en realidad no existe ningún problema, ninguna pregunta pero sí una cuestión de fondo. La cuestión de fondo está relacionada al ser o al no ser, es decir al hacer o al no hacer. Si aceptas el juego eres y comprendes que tú mismo eres el juego, si no juegas, la única diferencia es que no entenderás jamás que tú eres el juego porque no tienes ninguna oportunidad. Entonces la Consciencia, para manifestarse, necesita recitar el papel de 2 jugadores para descubrir, al final, que los 2 jugadores son 2 manifestaciones virtuales : pero la verdadera esencia está en el juego mismo. En este contexto se comprende como la Consciencia es el hacer, no una tarea realizada, es el movimiento no la cosa que se mueve, es el juego no los jugadores, es el entrelazamiento mismo y no los 2 objetos entrelazados, es el parámetro escondido en la física de Penrose. Si bien, la Consciencia se manifiesta en los 2 objetos entrelazados entre ellos que son sólo una virtual manifestación de sí y no la real esencia.
Todos los conceptos expresados hasta ahora, nos llevan a concluir que la experiencia del ser humano está fundamentalmente ligada al hacer recordar que en realidad ella es. Después del reconocimiento de esta originaria identidad, existe el tentativo de ensamblar los pedazos originales de alma, mente y espíritu. En el TCTDF (Triada de Color Test Dinámico Flash) la simulación mental que permite obtener la integración de la Consciencia, llegamos a obtener este resultado construyendo una hipotética superposición entre las esferas de la triada, que forman una esfera totalmente invisible, es decir, transparente. El significado de la transparencia es aquello de la total inconsistencia material, porque la Consciencia no es virtual sino real. A esta esfera, con la dilatación y la contracción, se hace aprender y asimilar el concepto de onda y partícula cuántica y se comprende cómo no existe dualidad entre estas 2 expresiones del Yo. Pero en este punto, debemos integrar los discursos hasta aquí hechos, con un sucesivo paso que lleva el TCTDF a la obtención de una verdadera Consciencia Integrada (CI), indivisible para siempre. Se ha notado que algunos sujetos, a pesar de que llegan a obtener este resultado en su simulación mental, están continuamente al interior en el problema de abducción y no alcanzan a resolverlo totalmente. Algunas veces, la esfera de la triada, alma, mente y espíritu se re-separan sin variar más su color pero el sujeto no aparece integrado completamente y manifiesta todavía comportamientos duales. Es necesario subrayar, como recientemente se descubrió, gracias al análisis TCT efectuada en algunos recientes casos de abducción, como la obtención de una esfera totalmente transparente puede ser obtenida de 3 modos, de las cuales solo una de ellas representa lo justo. El primer modo de obtener lo transparente (incolora) es sujetar los ejes vectores activos de cada especie (alma, mente, espíritu) que compartirán sus extremos en 2 únicos puntos. Por ejemplo, la mente pone a disposición sus ejes de espacio y tiempo cuyos extremos se sujetarán también de los 2 ejes de tiempo y energía de espíritu. En los 2 puntos de conjunción se sujetarán también los 2 ejes de alma, de espacio y energía. Los 3 ejes pasivos (no visibles) permanecerán no unidos entre sí. El sistema proporciona una simetría incolora porque posee un plano de simetría vertical donde 2 puntos de unión están caracterizados cada uno por la presencia y superposición de 3 colores fundamentales (azul, verde y rojo) que proporcionan el ningún color. Por otro lado, los 3 originales de los 3 grupos de los 3 ejes, representan la consciencia de alma, mente, espíritu que son por definición, puntiformes y transparentes. El resultado obtenido se reporta a continuación.

La imagen en 3 dimensiones que se deriva, representa la esquematización nuevamente de un viejo símbolo arquetípico clásico de la Europa del norte que se ha llamado Triskel. Es interesante notar cómo, quien ve en su simulación mental el triskel que se forma, ve los 3 grupos de vectores que se unen de este modo. Tal unificación resulta ser reversible porque, al unirse, son solo los extremos de los 3 grupos de vectores pero no la consciencia de alma, mente y espíritu, es decir, los 3 puntos o vértices del triskel, de donde salen los 3 ejes externos pasivos (es decir transparentes). Las 3 consciencias, no siendo superpuestas, garantizan al sujeto todavía una visión de la realidad dual y no integrada. Para obtener la verdadera superposición irreversible, es necesario que las 3 ramas externas se superpongan a través de una rotación de la correspondiente triada de ejes, en torno al eje que une los 2 puntos transparentes, centros de unión de los diversos ejes. Solo entonces, las 3 consciencias se fusionan, formando una sola triada de ejes.

Nuevamente, se nota como la simulación mental efectuada sobre un sujeto abducido, con la intención de liberarse, produce símbolos arquetípicos pertenecientes a la geometría sagrada que ahora podemos comenzar a definir como la geometría en la cual el mundo del fotón y del antiprotón son estados ideales. Vale la pena recordar que el triskel tiene orígenes celtas muy antiguos y que representa sustancialmente una visión del Universo-Hombre basada sobre 3. Los 3 brazos del triskel representan para los Celtas la triada humana, alma, mente y espíritu pero también el espacio, el tiempo y la energía y también el pasado, el presente y el futuro.
Es fácil encontrar en las formas redondeadas del triskel original, la estructura de la triada celta, representativa del hombre, así como arquetípicamente era percibida por una arcaica civilización druídica. Los 3 brazos laterales son en realidad los ejes transparentes de la triada y basta quitárselos, si se consideran invisibles, para que el triskel se transforme en el símbolo de la flor de loto de 3 pétalos que para los Egipcios y los orientales, representa nuevamente, la flor de la vida.

Se notará que el triskel está diseñado como si rotase en el sentido horario o anti horario, construyendo una esvástica de 3 brazos, identificable con el símbolo del poder de Dios o del Demonio. En realidad es fácil demostrar, por la reconstrucción en 3D reportada arriba, que es solo el punto de observación del triskel que recuerda la idea de rotación horaria o anti horaria. En otras palabras, en el triskel y en su geometría, existe ya la información de que el dual no existe y que eso, en realidad, no sería otro que una visión simétrica de la dualidad contenida en un único objeto.
http://it.wikipedia.org/wiki/Triscele.
Entonces habiendo obtenido algo transparente no se ha llegado a la integración de los 3 componentes de consciencia y un sucesivo step de integración, será necesario, imponiendo a las 3 consciencias, de superponerse totalmente : cosa que normalmente se obtiene pidiendo a las 3 componentes que realicen el mismo tipo de superposición que tenían al inicio del tiempo : que van a hacer el resto.
Existe un segundo modo incompleto pero irreversible (en el sentido de que ya no puede proporcionar las esferas de la triada separada), obtenido superponiendo espacialmente las 3 consciencias de los 3 componentes de la triada. En este contexto los 3 puntos geométricos de donde parten los 3 grupos de ejes cartesianos, que se superpondrán mientras el resto de los ejes cartesianos, se dispondrán radial tridimensionalmente en el espacio. Se podrá notar como esta disposición proporciona una suma vectorial de los vectores colores igual a cero. El sistema está integrado parcialmente solo en el modo Real pero la integración no está hecha en el Virtual. Será necesario entones, en este caso, rotar los grupos de ejes para obtener las superposición de los ejes (3 a 3) e integrar también la componente virtual.

En esta reconstrucción en 3 dimensiones se evidencian los ejes pasivos (transparentes) y los planos de existencia de las 3 componentes de la triada donde, cada plano, está delimitado por 2 ejes (los dos bordes del triángulo de 90 grados entre ellos).
Sobre la base de las consideraciones hechas en este trabajo podemos concluir las siguientes cosas :
Para quien desee profundizar los términos tratados en este artículo aquí está una lista de referencias en línea que afrontan el problema de los chakra, del universo virtual, de la variabilidad de las leyes de la física, de la nueva PNL cuántica y de la virtualidad relacionada a la definición de Consciencia, de la relación entre alma y cuántica y otras cosas que haga comprender al lector que ahora somos muchos los que pensamos diferente.
