de Corrado Malanga.
Este trabajo es considerado como el concluyente de la serie de obras tituladas Evideon, que he publicado en los últimos años. Esto significa que, después de eso, se cierra una era de comprensión y se abre otra. El hecho es que este es el último trabajo terminado que aborda el problema de la estructura del Universo en relación con la definición de la adquisición de Consciencia y el reconocimiento de la ruta de acceso de la conexión del conocimiento con ella misma, le di al texto un ajuste que al lector le parecerá más difícil. La dificultad de comprender está vinculada a diversos factores no menos importantes de los cuales es la presencia o ausencia de requisitos previos, sino también el entrenamiento de ver, en la mente, el universo tridimensional, la capacidad de relacionar los aspectos de la física moderna que, a primera vista, parece no tienen nada que ver entre sí. Mi intento fue reunir a los principios de la física subatómica moderna con la visión del Universo Holográfico, en relación al aspecto concencial del hombre.
Una vez más, al final de la redacción de este trabajo, me di cuenta de que yo escribí lo que estaba haciendo, en eso es en lo que se estaba convirtiendo. Por otra parte, he tratado de proporcionar al lector, los elementos que le permitirán obtener rápidamente una idea, independiente de la mia, sobre la realidad virtual cuántica, expresada por la física moderna, construyendo un camino ya equipado por la literatura, sin tener que hacer el trabajo duro de ir a buscar las fuentes. La literatura ha sido construida en dos niveles : el primer nivel se relaciona con el uso de la red y se introdujo directamente en el texto, justo al lado de las cosas descritas. Un segundo nivel, más profundo, se trazó con la profundidad de la literatura, colocado al final de la obra. No se desanime el lector que tenga dificultades en la comprensión de los conceptos físicos y químicos, especialmente mostrados al principio de la obra, y continue hasta el final, donde muchas cosas adquieren una dimensión de claridad. En cualquier caso, aunque este trabajo no sirve para la adquisición de Consciencia, sin duda servirá a los que están equipados con el deseo de comprender, para entender la realidad virtual en el que estamos inmersos, sin tener que depender de los documentales de la televisión del estado en la que se intenta persuadir a los espectadores que sufrimos las leyes del Universo, ya sea por la faceta científica o por la religiosa. La conclusión de este estudio muestra en cambio que somos los Creadores de Todo.
Sería bueno que alguien empezara a notarlo.
En nuestros primeros dos documentos titulados Evideon, subrayamos que la existencia del antifotón ayuda a explicar muchas de las cosas que los físicos y los esoteristas aún no pueden explicar. Especialmente hemos visto cómo la física moderna, no ve el antifotón por dos motivos importantes. El primer motivo tiene que ver con la adquisición de Consciencia científica que, obviamente, como hemos señalado en otro lugar, sólo ve lo que su conocimiento le permite ver. En este contexto, ya que cada uno de nosotros es el creador de su universo, ese que el físico cree que el antifotón no existe, porque se lo han dicho otros y así está escrito en los libros de física en los que se forma, y luego cree en un universo que no incluye el antifotón. Así que será un universo como él mismo ha creado y todo va a obligar a su mente a creer que las cosas pueden ser diferentes. Un segunda motivo más virtual, que no permite al físico ver el antifotón está vinculado al hecho objetivo de que, si existe el fotón y si existe, su antípoda óptico, lo que llamamos antifotón, están interconectados rápidamente el uno al otro a la velocidad de la luz con una frecuencia de acuerdo con el tiempo de Planck (recordemos que es del orden de 10-44 seg).
En este contexto, el físico ve un fotón virtual que, según el enfoque Evideonico no posee masa.
En realidad, el fotón virtual estaría constituida por una película con dos fotogramas que se alternan en la pantalla a la velocidad de la luz, que representa la extructura fotónica y antifotónica, donde la única diferencia entre los dos objetos se vincula a los colores que representan en el eje vertical de la energía (el magenta y el verde) que se intercambian entre sí. El intercambio entre estos dos objetos, que permite transformar uno en el otro, es porque el eje de las energías se acorta hasta convertirse en nulo para poder girarse en dirección opuesta, hasta que alcanza su valor máximo, expresado por los vectores (el 3, el 9 y el 6).

Es notable que la suma de los tres vectores (18) debe permanecer constante para la conservación de la energía y por lo tanto no todos los valores se pueden expresar por el triplete de los vectores para que a nosotros nos aparezcan cuantificados (Ver Apéndice 1).
La inversión del eje de la energía tiene un efecto sobre la simetría del fotón y del antifotón que, al no tener un plano de simetría, aparece uno como la imagen especular del otro no solapables. Este fotón virtual, que tiene el eje de la energía con valor cero (inexistente), aparece sin ese atributo, que está asociado con la masa aparente del fotón. En otras palabras, el fotón, que se hace de dos cosas en interconversión rápida entre ellas, una con una masa y la otra con antimasa, aparece siempre sin masa, ya sea estacionario o a su velocidad máxima, que es el velocidad de la luz. El fotón de este tipo, que la física llamada "virtual", es el único objeto en el universo que no tiene masa medible si está parado o está en movimiento, eludiendo "curiosamente", la ecuación de la memoria einsteniana que dice que E = mv2.
En esta perspectiva, el modelo propuesto en Evideon y Evideon 2 establece que la longitud de los ejes del espacio y el tiempo no se acortan nada, aunque pueden cambiar de posición en el espacio Evideonico. Este aspecto lleva a la conclusión que la velocidad de la luz, es decir, la velocidad a la que asociamos la presencia y la existencia del fotón virtual, nunca puede cambiar y siempre será igual a 1 en unidades naturales de Planck.
Dicho esto vamos a verificar si existe un prueba experimental que efectuando el camino de las observaciones teóricas, podrían explicar nuestra visión de las cosas.
En Evideon 2 ya se había explicado como un cristal de Feldespato de Islandia en forma de prisma orientado correctamente con respecto a un haz incidente de fotones virtuales, lo divide en dos partes, que corresponden, de acuerdo con nuestra visión de los hechos, a las dos posibilidades de polarización del fotón virtual, expresada por los valores -1, 0, +1, que valora el spin. La división en dos haces, se obtendría porque el fotón virtual podría golpear los electrones en la superficie del cristal, tanto en fase como en contra fase en forma de spin con el signo menos o con el signo más. En otras palabras, es posible que tenga una colisión con un fotón o con un antifotón y esto daría lugar a una interacción de tipo diastereomérico. Los dos estados de transición que preceden al impacto, tendrían energía diferente, ya que no tendrían un plano de simetría. Para los expertos de la estereoquímica, se sabe que esto conduce a tener dos estados de transición que tienen dos energías diferentes y dos comportamientos diastereoméricos diferentes alrededor de todo y para todos ellos. Una de las particularidades sería el índice de refracción del fotón y del antifotón que sería desviado, dentro del cristal en dos direcciones diferentes en un intento de mantener, en el instante del impacto la simetría de todo el sistema invariante. Inmediatamente después de la interacción y el cambio de dirección, tanto los fotones como los antifotones volverían a interconvertirse unos en otros, dando origen sin embargo, a dos grupos de fotones virtuales entrelazados entre ellos; todo esto significaría que, mientras que el haz de fotones virtuales que aparecen como fotones, van en una dirección, el otro haz de fotones virtuales aparecer en contra fase al otro y tienen otra dirección espacial. El observador ve sólo dos haces de fotones virtuales, pero no es consciente del entrelazamiento entre los dos tipos de fotones virtuales, que constituyen dos partes de un fenómeno, que sigue manteniendo un plano general de simetría.
La luz se define como un campo electromagnético en la que el vector del campo eléctrico oscila perpendicular al vector del campo magnético. La oscilación global va en todas las direcciones. Cuando hago pasar la luz por un filtro polarizador, polarizo la luz que se balancea hacia atrás salvo aquella que oscila en un eje de polarización.

La luz polarizada de este modo se pasa a través de un cristal de calcita (no lineal). Los fotones polarizados +1 toman una dirección diferente de los polarizados -1, pero es que son virtualmente indistinguibles, cuando se reunen, después de un paso a través de otro cristal de calcita en contra-fase, dando un único rayo de luz cuyos fotones siguen polarizadas de la misma manera que al principio (Ver la siguiente ilustración), tenemos N fotones con propiedad Δ N que inciden sobre dos cristales del calcita (ideal) alineados y dispuestos uno inversamente al otro. Todos los N fotones transmitidos emergen del segundo cristal con la propiedad Δ transmiten una polaridad analizada con orientación vertical.
Este comportamiento es diferente al de un conjunto de N fotones de los cuales : la mitad con propiedad □ y la otra mitad con propiedad ◊. Sólo la mitad de ellos (en promedio) se transmitirán por el analizador polaroid.
http://www.fisica.uniud.it/URDF/interreg/quanto/schede/sch19i.htm
Teniendo en cuenta la correspondencia entre la trayectoria y la polarización, el diferente comportamiento de los dos conjuntos de fotones comporta la imposibilidad de atribuir una trayectoria para el fotón.

Fotones con propiedad □ inciden sobre el sistema de dos cristales inversos.
La previsión se hace en base a la hipótesis A diferiendo del éxito esperimental.
En otras palabras, los fotones virtuales polarizados constituidos por fotones y antifotones, se dividen en dos haces que inmediatamente después regresan al oscilador, mostrando sólo la particularidad vital de un fotón sin masa. Los dos haces de fotones, sin embargo, se entrelazan entre ellos y, por lo tanto, sin dejar de vibrar en el mismo plano están en contra fase entre sí. Esto significa que salen de los dos cristales exactamente como entraron. La eventual diferencia que existe entre los dos tipos de fotones virtuales es que, aunque idénticos, por debajo del tiempo de Planck, muestran una polarización a lo largo del eje de la energía de Evideon opuesta 180 grados pero vibran en el mismo plano y no son diferenciables por una lente polarizadora. El cristal de calcita interactúa con fotones virtuales solamente distinguibles en dos subgrupos que, inmediatamente después, vuelven a ser indistinguible si no fuera que se entrelazan en ese momento, hasta que siguen divididos. El polarizador nunca puede distinguirlos, incluso si son diferentes.
Los resultados de esta física estarían de acuerdo con la existencia de un fotón virtual hecho realidad de dos formas limitantes de resonancia : de otro modo no se ve porque el cristal de calcita, debe de separar dos estados cuánticos de la polarización del fotón estando relacionados con un partícula simétrica, que no tendría su antipartícula.
La separación de los dos haces muestra cómo se puede obtener la separación de la mezcla enantiomórfica de la mezcla de los fotones, utilizando un cristal de calcita que se comportaría como una columna cromatográfica quiral; la mezcla de fotones y antifotones se comportaría como una mezcla de enantiómeros durante una separación en columna quiral.
http://www.chimicamo.org/chimica-organica/risoluzione-di-una-miscela-racemica.html
En este punto es necesario un estudio para el lector no acostumbrado a algunos términos técnicos que hemos utilizado hasta ahora. Dos objetos definidos, uno la imagen especular del otro, son enantiomorfos y se distinguen sólo porque, al no tener un plano de simetría, no son imágenes especulares que se pueden superponer. Todas las demás propiedades son idénticas. Por tanto, no son separables o distinguible de ninguna manera. El único modo de conseguir que se comporten de manera diferente es hacer que se relacionen con algo que no sea simétrico. En ese contexto, el objeto no simétrico que interactúa con una forma enantio o con la otra, crea un par que define la diastereoisomérica. Los diastereoisómeros son diferentes en todo y por lo tanto son separables pero sobre todo tienen diferentes energías de interacción y esto conduce a algunas consecuencias interesantes, que una interacción está más favorecida, en términos de energía (cinética), de la otra.
Más diastereoisómeros difieren en la simetría y más diferente es la energía necesaria para hacerlos interactuar.
Tomemos un ejemplo sencillo. Sabemos que los fotones interactúan con los electrones de la superficie del material con el que entran en contacto. Sabemos que para el establecimiento de Evideonica, un electrón, es decir un leptón, está constituido por un fotón ligado a un antifotón (Ver Evideon). Así que el leptón no es simétrico y en la interacción con un fotón virtual, esta interacción tendrá dos posibles caminos.
F1 - F* + Fv ↔ F1 - F* - F ↔ F1 + F* - F (fotón y positrón)
Fv + F1 - F* ↔ F* - F1 - F* → F* + F* - F1 (antifotón y electrón)
Fv = Fotón Virtual, F* = Antifotón, F1 = Fotón de energía 1,
F - F* = Electrón, F* - F = Positrón, F - F* - F = Quark, F* - F - F* = Antiquark.
Los dos procesos son enantiomorfos y son más propensos a ocurrir; pero si se produce uno de los dos procesos, debe hacerse paralelamente con el segundo, de lo contrario, localmente, se destruye la simetría. Esto significa que en la realidad virtual de Evideon son algunos procesos que no pueden suceder si no se combinan con sus procesos contra y esto sucede cuando se intenta responder a cada uno, otras partículas subatómicas compuestas, en su totalidad, un número impar de unidades fotónicas y/o antifotónicas, como en este caso. (Ver Apéndice 2).
Este es el motivo fundamental por el que los quarks no pueden existir por sí mismos, ya que tienen tres unidades, dos fotónicas y una antifotónica. Por contra el quarks se encuentran siempre en compañía de su antiquark (el mesón). El entrelazamiento cuántico es una consecuencia de este aspecto del universo físico virtual, porque lo primero que ocurre es la separación de dos partes de la Consciencia.
En este contexto, la interacción de un solo fotón con un electrón, sólo es posible si se acepta que el fotón que reacciona con el electrón cede toda su energía. En otras palabras, el fotón se agrega al electrón y anula su eje de energía, aumentando los dos ejes de la energía de la parte fotónica y antifotónica del electrón. En otras palabras, el fotón no se agrega ni como fotón ni como antifotón sino como fotón virtual, como una especie sin asimetría pero con un plano especular, proporcionando un electrón que aparece con una energía más elevada.

Este objeto tiene casi las mismas características del electrón de partida (tiene la misma simetría, pero tiene una energía diferente ya que la contribución energética del fotón de partida, bajo la forma de longitud de su eje de la energía, se redistribuye sobre el eje de la componente fotónica del electrón mismo, (alcanzando el mismo eje) y cuando vuelve al estado energético de base, puede efectuar el proceso inverso, es decir eliminar un fotón de energía apropiada (reformar el fotón con eje de energía no nulo). El fotón virtual que es enganchado al electrón, como veremos en seguida, tiene la libertad de movimiento rotacional por encima y por debajo de su plano horizontal y esta flexión provoca la capacidad de desprenderse facilmente, respecto a una estructura rígida como el quark (Ver a continuación).
El fotón virtual, si se engancha al electrón en la parte fotónica o en la parte antifotónica, puede producir una especie intermedia idéntica (Ver Apéndice 3) que se interconvertirà en un electrón con una mayor energía.
En realidad no veremos sólo el efecto final de estos dos procesos; la física cuántica teórica muestra que si existe el antifotón, no sólo tiene helicidad diferente de la del fotón sino que su helicidad (spin) le impide por la regla de simetría actuar sobre la materia como hace su forma fotónica, con la misma probabilidad (Ver Apéndice 3).
Por tanto vemos, en nuestra semi realidad, solamente un fotón que, si golpea el electrón orbital 1s del átomo de hidrógeno, lo hace saltar de un nivel cuantificado con el número cuántico principal igual a 1, a un nivel cuantificado mayor con n=2. Como se espera de la visión Evideonica. Esto último, sin embargo, es capaz de formular la hipótesis de donde termina el fotón que en este proceso parece desaparecer y que permanece atrapado en su forma planar, el electrón mismo, listo para volver a emitir cuando se produce el proceso contrario. Lo contrario ocurrirá en el antiátomo de hidrógeno, como se supone en la literatura científica. (W. Perkins, "The Antiparticles of Neutral Bosons," Journal of Modern Physics, Vol 4 No. 12A, 2013, pp 12-19 doi : 10.4236/jmp.2013.412A1003).
Pero ¿los fotones interactúan unos con otros?
Técnicamente si los fotones no tenían masa, deben pasar uno dentro del otro sin chocar entre sí y no tienen interacción entre ellos y esto es lo que realmente podría suceder si, los fotones que interactúan, son virtuales en el instante en el que el eje de energía (en Evideon el eje vertical se caracteriza por los colores verde y magenta) es nulo. En ese momento, de hecho, el fotón y el antifotón son la misma cosa, ya que tienen un plano de simetría (el plano espacio-temporal) que permite la superposición total entre las dos fórmulas límite de resonancia (fotón y antifotón). Experimentalmente parece que si tomo dos rayos láser que se cruzan entre ellos y sus dos rayos parecen no tener ninguna interacción con los demás, conformando la idea de que el fotón no tiene masa.
Desafortunadamente, aunque la física dice que, hay muchos trabajos experimentales y teóricos que demuestran lo contrario.
¿Cómo es que un fotón es atraído por la gravedad si, al no tener la masa, no está sujeto a la gravedad?
Einstein, elude este problema diciendo que el espacio-tiempo se curva bajo la interferencia de una gran masa. Siendo que el campo de la existencia del fotón es relegado al plano espacio-temporal, el fotón se desliza en él y refleja la flexión de este último, por la impresión de caer en el pozo causado por la masa de un cuerpo. Pero algo no vuelve.

Paul Dirak, sostiene que no es necesaria una gran masa para distorsionar o dar la impresión de que el campo espacio-temporal se curva.
Según los cálculos, de hecho, basta el núcleo de un átomo pesado como el Mercurio, para garantizar que el electrón orbital 1s de este elemento, vaya a una velocidad igual a aproximadamente un cuarto de la velocidad de la luz (la velocidad de tales electrones de hecho propuesta por el número atómico del Mercurio y multiplicada por la constante de estructura fina del universo es igual a Z x Alfa = 80/137). Esta alta velocidad, produciría una contracción espacio-temporal de los orbitales atómicos de la forma esférica "s" que apantallarán el núcleo del átomo, produciendo un abultamiento de los orbitales de diferente geometría como los orbitales "2p" y "d".
Todo esto, está ampliamente documentado por estudios científicos que producen la liquidez del Mercurio. (F. Calvo et al, Angew Chem, Int. Ed. 2013, doi : 10.1002/anie.201302742).
Pero esto significa que no es el efecto de la masa la que produce una fuerte alteración del tejido espacio-temporal.
Albert Einstein es un nombre bien conocido como Premio Nobel de Física no por la teoría de la relatividad, como algunos creen, sino por el efecto fotoeléctrico, que es otra cosa.
Como entiende Einstein, retomando la teoría de Planck, el efecto fotoeléctrico mostró la naturaleza cuántica de la luz. La energía de la radiación electromagnética no se distribuye de modo uniforme sobre todo el frente de la onda sino concentrada en singulares cuantos (paquetes discretos) de energía y los fotones y cada fotón interactúa individualmente con un electrón, que cede su energía. Para que esto ocurra, es necesario que el fotón tenga una energía suficiente para romper el enlace que mantiene al electrón en el átomo. Este "valor mínimo" de energía de los fotones se determina por la relación de Einstein : E = h·(c/λ) (donde "h" es la constante de Planck, "λ" es la longitud de onda, y "c" la velocidad de la luz). Seguramente, la teoría de la relatividad es cualquier cosa de un amplio impacto porque representa o quiere representar una descripción de todo el Universo mientras el efecto fotoeléctrico representa solo un comportamiento que describe la interacción de un fotón con un electrón superficial.
¿Cómo es que el más alto honor científico otorgado a Einstein no habla de la relatividad? En otras palabras, el reconocimiento científico de Einstein se da por un descubrimiento que permitirá a Compton averiguar el efecto del mismo nombre. El experimento de Compton consistió en enviar un haz colimado de fotones (rayos X con λ = 0,0709 nm) sobre un blanco de grafito, y en la observación del espectro de los fotones dispersados y cual era por tanto su longitud de onda (λ).
Lo que vio el físico estadounidense era que, además de la emisión de fotones de la misma λ, también hubo rayos X de mayor longitud de onda (promedio de 0,0731 nm), y por tanto, de menor frecuencia (menos energía). Además, el aumento absoluto de la longitud de onda de la radiación dispersada, para cualquier ángulo de difusión, era independiente de la longitud de onda de la radiación incidente.
http://www.lucevirtuale.net/percorsi/b3/effetto_compton.html

En 1923 Arthur Holly Compton realizó el siguiente experimento. Dirigió un haz monocromático de rayos X contra un blanco de grafito y analizó las propiedades de la radiación de salida. Los datos experimentales mostraron que la longitud de onda λf de la radiación dispersada final es mayor que la longitud de onda λi de la radiación incidente; la diferencia λf - λi también depende del ángulo θ cuya dirección de radiación está muy difusa. Como por el efecto fotoeléctrico y el cuerpo negro, este resultado es incomprensible sobre la basa de las leyes de la teoría ondulatoria clásica de la luz, según la cual el rayo X incidente debería ser difuso en todas direcciones, con la misma longitud de onda, contrariamente al resultado experimental. Compton en sí podría explicar este comportamiento de los rayos X.
Recurrió a la teoría de la relatividad y, sobre todo, supuso que los rayos X, en la colisión con los átomos del grafito, se comportaban como partículas reales con energía e impulso (es decir, masa).
Si la teoría de Einstein sobre la relatividad estuviera equivocada entonces el efecto Compton debería buscar en otra parte sus explicaciones, y el efecto fotoeléctrico por los datos descubiertos por Compton, se refieren a una fuerte interacción entre un fotón sin masa y un electrón consideradas partículas indivisibles, se podría tener una explicación diferente con la visión Evideonica del universo.
Que la teoría de la relatividad sea errónea lo piensan hoy muchos, aunque en general, no tengan el valor de decir lo que piensan, ya que van en contra de la idea de que le han dado un Nobel a alguien que esté equivocado, en casi todo, es ahora una moda.
La ecuación de la relatividad de Einstein no la hizo, de hecho, Albert Einstein, sino un matemático italiano autodidacta, Olinto De Pretto. La sorprendente revelación viene del serio periódico británico "The Guardian" que ya hace ocho años se habría encontrado la génesis de la célebre fórmula de la relatividad (el tiempo y el movimiento son relativos con la posición del observador, si la velocidad de la luz es constante), por otro lado conocida como E = mc2 (la energía es igual a la masa multiplicada por el cuadrado de la velocidad de la luz) y se ha reavivado la controversia acerca de la primogénia ecuación quizás más famosa del mundo. En realidad la famosa fórmula E = mc2 ni siquiera ha sido desenterrada por Einstein como se informa en un artículo de Simona Marchetti, 13 de abril de 2007, en el diario Corriere della Sera : "De acuerdo con lo que se dice, el 23 de noviembre de 1903 el italiano De Pretto, un industrial de Vicenza con pasión por las matemáticas, publicó en la revista científica "Atte", un artículo titulado "Hipótesis del éter en el Universo", en el que sostenía que "la materia de un cuerpo contiene una cantidad de energía representada por toda la masa del cuerpo, que se mueve a la misma velocidad de las partículas individuales. "En resumen, la famosa E = mc2 explicada palabra por palabra, aunque De Pretto no puso la fórmula en relación con el concepto de la relatividad, sino con la vida del universo.

Según la reconstrucción hecha por el profesor Umberto Bartocci, profesor de historia de las matemáticas en la Universidad de Perugia, esta falla en lo propuesto por De Pretto y por eso al principio no se entendía el significado de la ecuación. Sólo más tarde, en 1905, el escritor suizo Michele Besso, advirtió a Albert Einstein del trabajo de dos años antes de De Pretto y las conclusiones a las que había llegado, que el brillante físico y matemático luego hizo suyas, pero sin dar ningún crédito al italiano. Esto, por supuesto, es la tesis de Bartocci, a la que el profesor también ha dedicado un libro, publicado en 1999 por Andrómeda : "Albert Einstein e Olindo De Pretto". La verdadera historia de la fórmula más famosa en el mundo, donde se explica con razón, la teoría de la "contaminación einsteniana" de De Pretto, que murió en 1921. "De Pretto no descubrió la relatividad - ha reconocido Bartocci - pero no hay duda de que fue el primero en utilizar la ecuación y esto es muy significativo. También convenció de que Einstein utilizó la investigación de De Pretto, aunque esto es imposible de demostrar".
En el curso de los años entonces ha habido otras controversias sobre las aportaciones científicas que permitirían a Einstein descubrir y hacer pública la fórmula revolucionaria en 1905 y entre estos, particularmente importante se dice que han sido las investigaciones del alemán David Hilbert. Parece, sin embargo, imposible poner fin a la disputa e incluso Edmund Robertson, profesor de matemáticas en la Universidad de St. Andrew, ha tenido éxito en : "Una gran parte de la matemática moderna fue creada por personas a las que nunca nadie ha dado crédito, como los árabes -dijo Robertson en The Guardian-. Einstein pudo haber conseguido la idea de alguien, pero las ideas mismas vienen de todas partes. De Pretto merece crédito por los estudios que ha realizado y la contribución que ha hecho, si estas cosas se pueden probar. Pero el hecho es, sin embargo, que el genio de Einstein sigue siendo indiscutible".
La duda persiste, la controversia así, la única certeza es precisamente esa ecuación E = mc2, de la que todo el mundo, al menos una vez, ha oído hablar. Discover de marzo de 2012 publica la investigación de algunos científicos que revisan totalmente las ideas de Einstein. Estudios recientes llevados a cabo en las notas originales de Einstein exhiben una serie de errores graves que habría hecho. Por lo que parece, y así se declara con una frase que no deja lugar a dudas de interpretación : "la teoría de la relatividad de Einstein es sin duda la mejor idea del S. XX. Pero no todo lo que hizo fue correcto : Algunos trabajos recién descubiertos del brillante físico estaban mal, realmente mal". Así lo dice Jeoff Brumeiel el 14 de marzo de 2014.
http://www.npr.org/2014/03/20/291408248/einsteins-lost-theorydiscovered-and-its-wrong

También mediciones más precisas realizadas con equipos más sofisticados muestran claramente que la teoría de Einstein se debe revisar. Por ejemplo, las relaciones entre las masas de las partículas subatómicas no parecen ser constantes, sino que fluctúan en el espacio-tiempo de Einstein, en contra de lo previsto en su teoría.
http://www.npr.org/2013/08/22/214186448/the-worlds-most-precise-clock-could-proveeinstein-wrong

En cualquier caso, hay muchas dudas de que, día a día, entraron en el centro de atención del mundo físico, que empiezan a romper la idea de la existencia real de la relatividad vinculada a la curvatura de un campo, el espacio-tiempo propuesto por Einstein, que al parecer, él no creía en la teoría del campo.
http://www.npr.org/blogs/13.7/2011/09/28/140839445/iseinstein-wrong
Marco De Paoli escribe en su libro : "Sobre los fundamentos de la teoría de la relatividad, que domina la escena de la física contemporánea, surge la necesidad de una más adecuada reflexión epistemológica.
La reflexión se amplía en un análisis a fondo de la cosmología imperante desde hace décadas que, solidaria a la cosmología einsteniana, ha impuesto progresivamente la inverosimil teoría de un universo en expansión a partir de una misteriosa "singularidad" creativa explotando con el llamado Big Bang.
Esta teoría ha sido capaz de imponer sólo a través de una lectura unilateral y reduccionista del corrimiento al rojo de la luz galáctica y la radiación de fondo difusa en el universo, mientras que los mismos datos parecen abiertos a otras interpretaciones alternativas más plausibles".

Pero aún otros físicos están empezando a revisar la idea de la curvatura del espacio-tiempo, proporcionando nuevos tipos de lectura de los fenómenos físicos relacionados con la gravedad : El conocido matemático y físico Fock sobre la relatividad la expuso de esta manera : "Es ... incorrecto llamar teoría de la gravedad de Einstein a -La Teoría General de la Relatividad- es imposible bajo cualquier condición física". Por otra parte, en un artículo titulado "¿Qué está mal en la relatividad? Boletín del Institute of Physics and Physical Society, Vol. 18 (marzo de 1967) pp.71-77, G. Burniston Brown rebate casi todos los aspectos de la teoría relativista.
http://homepage.ntlworld.com/academ/whatswrongwithrlativity.html
En pocas palabras algo en la relatividad no funciona y lo que no funciona siempre está ligado a las previsiones relacionadas con la masa de los cuerpos. La materia oscura y las previsiones sobre su cantidad, las interrelaciones entre el fotón y su masa aparente, y las relaciones entre la masa de los neutrones y protones, la formulación de un hipotético Big Bang en relación con la calidad y cantidad de la radiación de fondo, la Red Shift de las galaxias, la considerable falta de relación entre la relatividad y la cuántica, donde el tema fundamental es un gravitón cuántico que no puede ver la luz y sobre todo la naturaleza clásico del fotón que se comporta como si fuera en realidad como un objeto con masa variable, hace a la relatividad bastante incompleta. Cuando el fotón tiene alta energía interactúa con la materia y cuando tiene baja energía pasa por el centro. La propia estructura del espacio-tiempo se curva bajo la masa : o es su curvatura lo que produce el efecto de la masa, recuerda mucho la ausencia de dualidad en del universo Evideonico, donde la causa y el efecto es exactamente lo mismo, el mismo evento, visto de una manera dual, sólo por la postulada presencia de un tiempo que parece, para el físico Bohm que no existe.
Fundamentalmente, el centro de todo en concebir una energía que se comporta como una masa, o viceversa, a fin de considerar un fotón como un proyectil o como una onda. Pero si el fotón es un campo electromagnético, que va a interactuar con un campo gravitatorio en una teoría que predice un espacio-tiempo curvado ¿sólo puede existir si hay una masa? Sin embargo, los fotones, en el efecto fotoeléctrico, "chocan" contra los electrones tan fuertemente, para empujar, de acuerdo con la teoría de Compton, para hacer volar el electrón con una ángulo y una trayectoria particular. Pero si la teoría de la relatividad es incorrecta entonces ¿cómo se explica el efecto Compton en que el fotón desviado a la salida se comporta como un proyectil que tiene una energía menor que el fotón de entrada?
¿Dónde va la otra energía?
Obviamente, si el electrón tenía la estructura propuesta en Evideon y el fotón fuese un fotón virtual en oscilación con su antifotón, muchas cosas podrían explicarse fácilmente. El electrón no sería puntiforme, el choque podría ser inelástico y dependiendo de cómo el fotón virtual golpee el electrón, aquí surgen diferentes ángulos de salida del nuevo fotón (que no sería el que ha golpeado al electrón sino el que primero estaba ligado al antifotón que constituía el electrón en sí). En otras palabras, un fotón virtual, en su configuración fotónica (no antifotónica), golpea el electrón (fotón antifotón ligado a sí mismo). El fotón proyectil se acopla al electrón, cediendo su energía que, a su vez, libera un fotón con una energía igual o menor que la que posee el fotón incidente que oscila entre dos valores cuánticos -L y +L (con L=longitud del eje de la energía), el fotón saliente tendrá diferentes ángulos y energías : igual o más baja que la máxima permitida para la energía de un fotón o un antifotón en valor absoluto (para una solución banal del problema ver :
http://www.ilmondodelletelecomunicazioni.it/argomento.php?id_lezione=56&id_capitolo=445
La física no sólo predice que los fotones pueden interactuar con la materia, sino también entre ellos y también de forma fuerte. Investigadores de la Universidad de Viena, en noviembre de 2014, se las arreglaron para hacer interactuar a dos fotones, pasando dentro de un oportuno resonador, que puede aceptar la entrada de un solo fotón. La absorción de un fotón en el resonador y el cambio de giro de otro que vuelve al espacio, creando un entrelazamiento entre los dos fotones, parece ser lo que ocurre. Según el modelo Evideonico, esto significa que un fotón está girando su spin en contrafase respecto al otro (par de fotones virtuales entrelazados).

http://io9.com/in-this-image-two-photons-interact-heres-why-its-grou-1654502848
Pero incluso antes de estos experimentos otros investigadores habían logrado en 2007, a nivel teórico, para verificar que los fotones pueden interactuar entre sí, si tienen altas energías apropiadas.
http://arxiv.org/pdf/quant-ph/0301146.pdf
En 2013, algunos investigadores hacen "golpear juntos" (se debería decir "interactuando") dos fotones y consiguen otra caracterizan de la suma de las energías de los dos primeros. (Nonlinear interaction between Single Photons T. Guerreiro, A. Martin, B. Sanguinetti, J.S. Pelc, C. Langrock, M.M. Fejer, N. Gisin, H. Zbinden, N. Sangouard and R.T. Thew, Phys. Rev. Lett. 113 , 173.601 - Published 22 octuber 2014).

http://journals.aps.org/prl/abstract/10.1103/PhysRevLett.113.173601
En este artículo pero se muestra cómo dos fotones se pueden sumar juntos para crear un super fotón. Pero, ¿cómo explicar que la suma de dos fotones dan físicamente un solo fotón con energía diferente? Esto significa que los fotones sólo pueden sumar su componente energética. Una explicación para esta hipótesis está vinculada a la observación de que los dos fotones van en la misma dirección y a la velocidad de la luz llegan al mismo tiempo al detector, pero de otro modo aparecen como dos fotones distintos. En ese contexto, el detector mide el promedio de los valores de las dos energías que hacen dos mediciones simultáneamente (no localidad del espacio-tiempo). En ese contexto, un fotón que tiene una longitud de onda de 1.551 nm. y otro con una longitud de onda de 1.560 nm. proporcionan una longitud de onda media de 1.555,5 nm. que es equivalente a la energía de un sólo fotón aparente. Los dos fotones están en un único evento y pueden ser identificados como un solo fotón.

Esto significa que podemos sumar o restar fotones entre ellos sólo mediante la adición y sustracción de los valores de los ejes verticales de la energía del fotón Evideonico. La energía total, en juego, parece ser la suma de las energías de los dos fotones, que corresponde a una longitud de onda igual a 777,75 nm., aproximada a 778 nm., tal como se obtiene de forma objetiva. En este contexto, también podrá predecir el mecanismo de la adición de un electrón y un fotón, visto antes, donde el resultado final es un electrón que ha "alargado" el eje del componente fotónico y antifotónico en la misma cantidad que resulte de la contribución de la energía de los fotones que se une a la estructura electrónica, eliminando el valor de su eje de energía. Estos resultados llevan a la conclusión de que en una estructura electrónica, las longitudes de los distintos ejes de las unidades están sujetas a cambios fotónicos internos hechos sin perjuicio de las leyes de la simetría y la conservación de la energía. Estas cifras explican cómo es que un fotón virtual puede bloquear a un electrón (Ver Apéndice 3). También se debe notar cómo, desde todos los experimentos conocidos en la literatura, se infiere que : cuando el fotón tiene baja energía no interactúa y se comporta como una onda, pero cuando tiene alta energía, se comporta como una partícula, con colisiones elásticas.
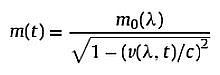
Un punto de vista interesante sobre la masa del fotón se expresa en Optiks (Evaluating the gravitational interaction between two photons M.A. Grado-Caffaro, M. Grado-Caffaro Scientific Consultants, c/Julio Palacios 11, 9-B, 28029 Madrid, Spain). En este trabajo, utilizando la ecuación de Klein Gordon se calcula la energía gravitacional que un fotón ejercería sobre otro fotón de energía diferente, sosteniendo que la masa aparente del fotón en reposo es nula.
Más allá del complejo formalismo matemático, los autores sostienen que :
Por otro lado, se define la energía gravitacional de la interacción con respecto a la masa en reposo entre los dos fotones como
Además, dado que la masa en reposo del fotón es dependiente de la longitud de onda, uno tiene una longitud de onda dada :

En el artículo considera m y m' a las masas de los dos fotones que interactúan entre sí y declara que : m = (hc/λ)/c2 = h/(λc) y m' = (hc/λ + ε))/c2 = h/c (λ + ε), donde h es constante de Planck, λ(lambda) es la longitud de onda del fotón de masa m y ε(épsilon) es la diferencia entre las longitudes de onda entre los dos fotones y c obviamente es la velocidad de la luz.
http://www.sciencedirect.com/science/article/pi/S0030402612001775
En otras palabras tenemos en cuenta que un fotón sea como una partícula que tiene una masa aparente dependiendo de su frecuencia. De acuerdo con la visión Evideonica del fotón se puede ver que : no sólo los dos fotones pueden interactuar gravitacionalmente sino que lo hacen si tienen altas energías, porque sólo entonces las masas aparentes son elevadas. Pero la visión es una interesante característica.
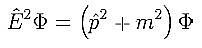
Los autores, para hacer estas especulaciones, usan la fórmula de Klein Gordon. Por si no lo saben, Klein y Gordon, tratan de aplicar la fórmula de Schrödinger, oportunamente modificada, (que calcula las funciones de onda de los fermiones y en particular de los electrones) para los bosones (como los fotones), y crear un punto de unión entre la relatividad de Einstein y la cuántica de Planck.
Pero como nos recuerda la Dra. Antonella Vannini, en su tesis doctoral en la Facultad de Psicología 1 de la Universidad de Roma "La Sapienza", con una tesis titulada "Un modelo sintropico de la Consciencia", "La básica fundamental ecuación probabilística, desarrollada por Max Born en 1926, contiene una referencia explícita a la naturaleza del tiempo y los dos tipos posibles de la ecuación de Schrödinger, uno que describe la onda anticipada y otra que describe la onda retrasada.
Hay un hecho importante : desde 1926, cada vez que los físicos han tomado la ecuación de Schrödinger para calcular la probabilidad cuántica, han tomado en consideración la solución de la onda anticipada, a continuación, la influencia de las ondas que viajan atrás en el tiempo, sin siquiera darse cuenta. La interpretación matemática de Cramer, a partir de la ecuación de Schrödinger, es exactamente la misma interpretación de Copenhague. La diferencia radica únicamente en la interpretación. La interpretación de Cramer logra el "milagro" de resolver todos los misterios y enigmas de la física cuántica, por lo que es también compatible con los requisitos de la relatividad especial.
La transacción entre la onda retardada, proviniente del pasado y la onda avanzada proveniente del futuro, a la altura de una entidad cuántica con propiedades duales onda/partícula. La propiedad de la onda consecuencia de la interferencia de la onda retardada y anticipada y la propiedad de la partícula es debido a la localización de la transacción.
Este milagro se logra, pero al precio de aceptar que la onda cuántica realmente puede realmente viajar hacia atrás en el tiempo. A primera vista, esto está en conflicto directo con la lógica común, que nos dice que la causa siempre debe preceder al evento que causó, pero la manera en la que la interpretación transaccional considera el tiempo difiere de la lógica común, ya que la interpretación transaccional incluye explícitamente los efectos de la teoría de la relatividad. La interpretación de Copenhague trata, sin embargo, el tiempo del modo clásico, podríamos decir "newtoniano", y este es el origen de las discrepancias que se producen hoy en día, como lo demuestran las obras en las que intentan explicar los resultados de los experimentos como el de Aspect y el de la doble rendija.
Cramer, en la práctica, ha descubierto un vínculo muy profundo entre la relatividad y la mecánica cuántica, y este es el núcleo de su interpretación".
Ahora Klein y Gordon en su fórmula, muestra el hecho de que existen dos soluciones para la función de onda del fotón, una positiva y otra negativa, como ha destacado el trabajo de Caffaro mencionado antes.
En la expresión relativista, la energía total (que tiene en cuenta el operador energía cinética y de la masa en reposo) está descrito por :
Se podría entonces banalmente buscar una solución de manera similar a como se hizo con la ecuación de Schrödinger :
pero de este modo, cuando se va a sustituir el impulso del operador "nabla", se encuentra frente a la raíz cuadrada de un operador.
http://it.wikipedia.org/wiki/Operatore_nabla
La idea para obviar este inconveniente propone una especie de cuadrado de la última ecuación :
Pero al hacerlo se pierden todas las soluciones negativas de un modo totalmente arbitrario. En pocas palabras, para el fotón, existen dos funciones de onda : una negativa y que va hacia el pasado y en la dirección espacial opuesta a la que tiene la energía positiva que va hacia el futuro. Todo esto, dicho en términos Evideonicos, significa que la física moderna ya ha calculado la existencia del antifotón, pero ha descartado a priori su existencia a pesar de que las matemáticas y la simetría indican lo contrario.
http://en.wikipedia.org/wiki/Klein%E2%80%93Gordon_equation
El antifotón tendría la característica de moverse en una dimensión donde la entropía disminuye (negentropía o entropía negativa, propuesta por Erwin Schrödinger en 1943 y retomada por Luigi Fantappiè en el mismo año).
http://it.wikipedia.org/wiki/Luigi_Fantappi%C3%A9
Mientras la física moderna no reconoce la existencia del antifotón porque se interconvierte a la velocidad de la luz en su imagen especular, a través de un rápido efecto túnel. La solución matemática que conduce a la verificación teórica de este evento pero pasado por alto, ya que no se entiende, sólo porque la adquisición de Consciencia de la física moderna no llega todavía a comprender que el fotón es como una medalla que tercamente quiere ver un sólo lado.
La física moderna ve el fotón como una partícula sin antipartícula, pero es incapaz de entender su comportamiento hasta el final buscando soluciones alternativas a veces decididamente pintorescas. Si revisamos los experimentos de colisión efectuados por el fotón o por fotones y electrones nos damos cuenta como el modelo Evideonico es capaz de compensar todo la falta de entendimiento.
Un experimento de todos, nos hace comprender cómo las viejas interpretaciones pintorescas también proporcionadas por las principales escuelas de la física, caen frente a las objeciones triviales. En un artículo de hace unos años, Raymond Y.Chiao, Paul G. Kwiat y Aephraim M. Steinberg produjeron un interesante experimento publicado en 1993 en la revista Nature.
Dispararon desde un cañón fotónico dos fotones, nacidos al mismo tiempo, uno a la derecha y otra a la izquierda hacia dos detectores de fotones.
Los dos fotones que viajando a la velocidad de la luz llegaron a sus detectores al mismo tiempo, ya que los dos objetivos eran equidistante del origen fotónico. En un segundo experimento uno de los dos caminos ópticos se modificó con la adición de un espejo.
Dispararon cien fotones a la derecha, al camino libre y cien fotones que van al camino con el espejo como obstáculo. Los primeros cien fotones llegaron a tiempo en el blanco a la velocidad de la luz. Los segundos cien fotones rebotan en el espejo y se reflejan de vuelta.
Se vió, sin embargo, que el espejo no era perfecto y de los cien fotones uno atravesaba el espejo y continuaba su trayectoria hacia el segundo objetivo. El espejo tenía obviamente una reflectancia del 99%.
Bueno, el fotón podía pasar por el espejo, mostrando una velocidad de aproximadamente 1,7c; que al parecer viajaba a casi el doble de la velocidad de la luz. Durante los experimentos, se dieron cuenta de que algunos días, más de un millón de fotones podían pasar el espejo y llegaban a traspasar la barrera de la velocidad de la luz.

La explicación oficial fue el siguiente : "No es cierto que los fotones que han pasado a través del espejo han superado la velocidad de la luz; el fotón es como una onda que representa la probabilidad de la existencia del fotón mismo.
Por lo tanto, no es cierto que el espejo sólo pueda transmitir un porcentaje de fotones, que refleja los otros noventa y nueve, pero pasaron 1/99 de los fotones, que refleja o rechaza el noventa y nueve por ciento. Si trazamos las dos curvas de Gauss de probabilidad, nos encontramos con que la probabilidad del 99% es como un caparazón de tortuga muy grande en comparación con la tortuga, un centenar de veces más pequeño que el de Gauss que es del 1% probable.
Las dos gausianas-tortugas van a la misma velocidad de la luz, pero parece que los pequeños llegan antes porque la campana de alarma que indica la llegada al objetivo suena cuando toda la tortuga ha pasado.
En ese contexto, parece que la primera tortuga que es el 1% de los fotones o un fotón de cada cien, que logra pasar a través del espejo, ha superado la velocidad de la luz.
http://astrolab.altervista.org/articoli/luce.html
Ambos físicos que escribieron el artículo científico, de los que no se recuerdan referencias en la revista Nature, sin embargo, hay una propiedad importante de los fotones que, si se toma en cuenta, invalida inmediatamente la explicación oficial dada por los autores del artículo. En la publicación se indica que el fotón se comporta como una onda el 99%, mientras que un 1% que pasa el espejo actua como una partícula. Por otro lado tanto Born como Bohm sostienen, aunque de una manera diferente que los fotones son ondas y/o partículas, pero cuando se decide que un fotón es una onda o una partícula todo el resto del tiempo se comportará de la misma manera. En términos simples, no es posible dar lugar a un solo fotón, en parte, como una onda y en parte como una partícula. Aparte del hecho de que ni siquiera volver a la explicación sobre Gauss porque la velocidad del fotón sería dependiente de la gráfica de la investigadora, también en este caso, el modelo Evideonico es capaz de ofrecer una explicación más amplia.
Siendo que el fotón virtual está en resonancia con sus dos formas enantiomórficas (fotones y antifotones), que se interconvierten entre ellos a la velocidad de la luz, tenemos dos probabilidades diferentes del fotón virtual, acercándose a los electrones del espejo, polarizándose como un fotón o como un antifotón.
Hay menos posibilidad de que el fotón virtual se bloquee como antifotón. Pero, en ese momento el nivel de probabilidad no es nulo, el antifotón se manifestará como tal y expresará sus propiedades en comparación con las del fotón que se refleja. El antifotón irá al otro lado del fotón, pero antes de reconvertirse en fotón virtual y ocultar al físico experimentador su verdadera naturaleza dual, permanecerá por un tiempo corto como antifotón pasando por un momento retrocediendo en el tiempo. En pocas palabras, es como si hubiera partido antes y por eso llega antes de tiempo dando la impresión errónea de que se supera la velocidad de la luz.
Por tanto el fotón sería como un péndulo, un metrónomo que escanea el tiempo. El fotón y el antifotón que interconectándose entre sí, proporcionan la no localidad del tiempo con lo que el universo iría adelante en el tiempo y volvería inmediatamente después de pivotar alrededor de un eterno presente.
Pero todas las veces que se podría bloquear un antifotón en su configuración congelada aquí esto sería mostrado cómo es posible, dentro de la virtualidad Evideonica fractal y holográfica, se tiene la impresión para volver a bajar a lo largo del eje del tiempo (doble visión de virtualidad).

El fotón virtual haría el híbrido de resonancia entre un fotón que va hacia el futuro y otro que viene del pasado. Todo esto requiere que el fotón virtual tiene un instante en que la energía es positiva y un instante después que la energía es negativa, en los que no se respetaría el segundo principio de la termodinámica, que obliga que la entropía siempre aumente, a menos que se considere también la otra mitad del universo, donde la entropía siempre disminuye. La entropía suma total seguiría siendo como siempre nula.

El eje vertical de la silla de montar es la energía del fotón virtual oscilante entre valores positivos y negativos en torno al espacio-tiempo representado por el plano horizontal de existencia del fotón virtual. Se incluyen así de un plumazo, todos los experimentos de colisión e interacción de los fotones. Si los fotones tienen baja energía tienen un eje corto de energía y oscilarán en torno a valores pequeños. Tales valores se manifiestan en el plano espacio temporal como el valor de la masa aparente del hipotético fotón en reposo. Masas cerca de los valores cero, permiten a los fotones no interactuar entre sí y sustancialmente cruzar cada uno sin alterarse excesivamente. Pero cuando los usamos, para nuestras colisiones, los fotones de alta energía, tendremos fotones con masas aparentes altas y eso da la oportunidad de manifestarse como partícula, dando en este caso origen a todos los datos experimentales mencionados y mal interpretados por la ciencia actual.
Puesto que todo el universo sería un fractal construido sobre la base de la geometría Evideonica y constituido de tantas pequeñas imágenes Evideon que se puedan imaginar de fotones y antifotones que se superponen entre sí. La realidad virtual se manifestará cuando un Evideon diverge en un fotón y un antifotón comenzando a oscilar con frecuencias opuestas en fase entre la forma fotónica y antifotónica. Este evento podría producir el fenómeno del entrelazamiento que sería el cruce de dos fotones porque los dos fotones nacidos de un Evideon estarían entrelazados sobre la base del hecho de que, por razones geométricas uno nace como un fotón que está a punto de convertir en antifotón y el otro nace como antifotón que comienza a interconvertirse en su imagen especular fotónica. Todo esto lleva a la conclusión de que el fotón se entrelaza con el antifotón correspondiente porque cuando es fotón el otro es siempre su antipartícula. Cuando uno tiene energía positiva el otro la tendría negativa del mismo valor, cuando uno va en una dirección el otro debe ir en la dirección opuesta. El caldo de fotones virtuales y antifotones, a pesar de tener valores de entropía contrarios darían siempre un valor total nulo. Todo esto se haría de la nada.
Desde un punto de vista temporal, nuestro universo es comparable a un holograma que tendría una frecuencia de reloj igual a la inversa del tiempo de Planck (1044 sec-1). Este sería el número de operaciones que el ordenador universo haría por segundo.
http://www.theepochtimes.com/n2/science/is-time-an-illusion-30858.html
Ese tiempo es una mera ilusión que puede ser entendido como si el universo fuera hacia adelante en el tiempo y volviera hacia atrás en el tiempo, oscilando en el espacio-tiempo y con la energía con los valores de Planck, está claro que no podemos notarlo pero la física viene en ayuda, haciéndonos entender cómo, dentro del sistema físico universal, va a tener lugar la idea y la sensación del tiempo, debido a la presencia del entrelazamiento entre dos fotones, es decir, entre un fotón y un antifotón simétricamente relacionados por su frecuencia de interconversión. Leemos en "Scienza e Conoscenza" un artículo de Alexander Silva, de 03/05/2013 que entre otras cosas dice :
http://www.scienzaeconoscenza.it/articolo/natura-del-tempo-nell-universo.php
El tiempo no existe es la hipótesis de Fiscaletti y Sorli sobre la naturaleza del tiempo en el Universo
"La investigación reciente sobre el tiempo conduce al físico italiano Davide Fiscaletti y el científico esloveno Amrit Sorli que sugieren que el universo no tiene lugar en un tiempo entendido como una dimensión física teniendo una existencia primaria, por el contrario, el tiempo existe sólo como una secuencia, un orden númerico de eventos, de cambios materiales. En el universo el tiempo es sólo una cantidad matemática. El universo de Gödel sin tiempo : en 1949 Kurt Gödel construyó los primeros modelos matemáticos del universo en el que se hipotiza la posibilidad de hacer viajes al pasado. En este modelo de universo en una estructura espacio-temporal, todo fenómeno está descrito por cuatro coordenadas, tres de los cuales representan un punto en el espacio, y la cuarta un momento preciso en el tiempo :
Intuitivamente, cada punto en el espacio-tiempo representa un evento, algo que ocurrió en un lugar específico en un instante preciso. El movimiento de un objeto puntiforme que describe una curva, con coordenada temporal creciente. Kurt Gödel es conocido por su teorema, en particular aquel de lo incompleto y la indecidibilidad. Ninguna teoría matemática sería completa, es decir, tendrían en su interior los elementos para decidir si su formalización es siempre cierta. Gödel analizó la ecuación de la fórmula del universo en expansión, en base a lo que Albert Einstein llamó línea temporal, al darse cuenta de que, viajando a lo largo de la línea de tiempo en el futuro, en algún momento en el viaje, usted se encuentra en el pasado : el punto de partida, es decir, precede o coincide con el de llegada. Gödel vio que la ecuación de la línea de tiempo con el que se construye la teoría del universo puede viajar a través del tiempo, y no sólo para ir y venir, sino también si seguimos avanzando vuelves, que es la via de tiempo infinito que no es simplemente una curva, sino que es circular." Así fue de nuevo a la definición de Tiempo con antecedente en la de San Agustín, que impuso a la ciencia la idea del tiempo lineal.
Pero más allá de estas interesantes consideraciones de tipo geométrico llegamos al experimento cuántico que demuestra cómo el tiempo nace del entrelazamiento de dos fotones.
Katerina Moreva y otros (Phys. Rev. 89, 521 a 22, (2014)), en el Instituto Nacional de Metrología de Investigación en Turín (INRIM) revelan como surge el tiempo del entrelazamiento fotónico. En un oportuno experimento de hecho han construido un universo de juguete en el que dos fotones están entrelazados con unos y otros formatos. El cambio de estado entre los dos fotones crea, dentro de este universo de juguete, la idea del tiempo, mientras que un Dios hipotético, externo al universo de juguete mide el tiempo con un reloj totalmente independiente, no mediría ninguna variación de cambio de tiempo. El trabajo científico llega a la conclusión de que incluso la gravedad se convierte así en una propiedad emergente del entrelazamiento de los dos fotones, tal como se espera de la teoría Evideonica, donde la gravedad no es más que una medida de la longitud del eje de las energías de los fotones. El fotón está en continua vibración en este eje entre dos valores que representan la energía y la antienergía anulando el efecto sobre la masa media, a menos de que interactúen fuertemente dos fotones de alta energía.
El fotón virtual es la única cosa que virtualmente existe, el único ladrillo del holograma, la única realidad virtual del fractal universal. Así que dentro de la naturaleza fotónica, también encontraremos un gancho que lo llamamos adquisición de Consciencia. La Consciencia crea el fotón y por lo tanto en la naturaleza fotónica debemos encontrar trazos de la Consciencia misma. En realidad nos preguntamos lo siguiente y que muchos científicos y filósofos se han preguntado ¿donde habita la Conciencia y cual es la conexión entre la física cuántica y la Consciencia?.
Claudio Mantovani, de la Universidad de Urbino "Carlo Bo", escribe en un trabajo titulado : "COSCIENZA ED ENTANGLEMENT QUANTISTICO" (CONSCIENCIA Y ENTRELAZAMIENTO CUÁNTICO) : "En lugar de tratar de encontrar hipotéticas conexiones entre la teoría de medición cuántica y la teoría de la Consciencia, podemos en su lugar exponer ligeramente los términos del problema respecto a la cuestión de la ley natural. Parece que la realidad es algo cambiante que cambia dependiendo de la manera en que la vemos, y ciertamente no es el modo de verlo de un físico cuántico ya que parece ser la más radical, para que podamos ser guiados a creer que las leyes de la física cuántica debe gobernar incluso los fenómenos psíquicos y mentales. Esto tal vez se basa en un prejuicio generalizado reduccionista en la ciencia. La conclusión es que la Consciencia no puede reducirse a las leyes de la mecánica cuántica por dos razones. En primer lugar, no puede simplemente actuar de acuerdo con el postulado de reducción sin generar de este modo paradojas a nivel macroscópico, y segundo, nadie sabe todavía la verdadera naturaleza de la Consciencia, pero es probable que si depende de la estructura del cerebro, y esto consiste entre otras cosas de electrones, protones, neutrones y así sucesivamente, para esto tenemos que cambiar algo en la interpretación de la mecánica cuántica estándar. A menos que realmente aceptemos poderes excepcionales de la Mente sobre la materia, manteniendo el principio de superposición y el postulado de reducción, todavía hay buenas razones para creer que la Luna está aunque nadie la mire".
Así que por un lado los hombres de ciencia y de pensamiento no saben lo que es la Consciencia y a menudo se niegan a afirmar que la ciencia se superpone a la Consciencia, pero se niegan a hacer lo contrario. De este bucle no se podía salir nunca, excepto con la descripción natural del Evideon que está para poner a todos de acuerdo. De hecho, si como siempre hemos dicho que somos los creadores de nuestro universo que se manifiesta en el único momento que existe, que es el presente, entonces no debe haber ningún principio de indeterminación de Heisenberg porque nosotros, como creadores, lo sabemos, perfectamente, aunque inconscientemente, porque hemos creado este universo. Heisenberg, recordamos brevemente, argumenta que no se puede observar un observable sin interrumpir la misma observación que se distorsionará irreparablemente. Pero también sabemos que las cosas se nos aparecen como creemos que son. Y se nos aparecen, así a nosotros mismos, creyendo que ha sido creado de esa manera, lo hicimos nosotros. Así observamos una realidad creada por nosotros sobre la base de adquisición de Consciencia de la creación misma. Pero si ese es el caso, finalmente, no debería haber ningún límite para aquellas personas que adquieran la Consciencia total de sí mismo. Desde este punto de vista la indeterminación de Heisenberg no representa un límite físico, dictado por la imposibilidad material de realizar mediciones precisas también, sino un límite conciencial que nos impediría ver las cosas como son, para entender su verdadera naturaleza, es la observación de la misma creación. El observar y el crear en un universo no dual, donde no existe diferencia entre la causa y el efecto, es el mismo evento.
En este contexto, se podría señalar como la indeterminación de Heisenberg vale exactamente la energía de transición entre el fotón y el antifotón. El paso de transformación entre un fotón virtual y un fotón prevee que el eje de la energía del fotón se alarga con una mínima energía cuantificada que es la energía más pequeña que Planck calcula para cualquier objeto en este universo. Bueno, esta energía es de 1/2hf. La diferencia entre la energía del fotón y del antifotón es 1/2hf - (-1/2hf) = hf. En pocas palabras la adquisición de Consciencia del físico moderno que aún no ha llegado a comprender que hay un antifotón. La existencia del antifotón produce en la adquisición de Consciencia humana resurgimiento de la información que el universo es virtual y nosotros mismos lo estamos creando. La falta de adquisición de Consciencia de esto hace absolutamente virtualmente presente el principio de indeterminación que va a desacerse como la nieve al Sol tan pronto como alguien entienda cómo son las cosas. En este punto nos preguntamos si no nos hubiéramos dado cuenta de que no hay indeterminación, porque todavía existe el principio de indeterminación. Bueno, hemos descubierto que en el 2013 las cosas han cambiado.

"Principio de indeterminación : ¿Heisenberg se perdió la explicación?" La explicación actual del principio de indeterminación de Heisenberg, en base al cual existe un límite fundamental a la precisión con la que se puede conocer un sistema cuántico, no es exacta. La sospecha se cernió entre los físicos desde hace varios años, y ahora la confirmación proviene de un experimento llevado a cabo por un grupo de físicos de la Universidad de Toronto dirigido por Aephraim M. Steinberg, que publica un artículo antes de firmar Lee A. Rozema en "Física Review Letters". Heisenberg explicó el principio de indeterminación, que, cuanto menor es la aproximación con que conocemos la posición de una partícula elemental, mayor es la incerteza acerca de su impulso y viceversa, suponiendo un problema con la medición : para determinar la posición de la partícula, por ejemplo, tenemos que "iluminar" con los fotones, que alteran la velocidad. Del mismo modo, cuando se procede a determinar con precisión la cantidad de movimiento, si se altera la posición. Pero la situación es más compleja, como lo demuestra una serie de experimentos, creados a raíz de un análisis teórico realizado en 2003 por el físico Masanao Ozawa, quien argumentó que el principio de Heisenberg no se aplicaría a la medida. O, más bien, las fuentes de indeterminación en un sistema cuántico serían dos : una que se relaciona con la medición y otra una indeterminación intrínseca.
Obviamente, la confirmación de esta hipótesis no puede recurrir a medidas directas. Por esta razón, los investigadores han ideado la técnica de "mediciones débiles", es decir, de las medidas que interfieran de forma limitada con lo que se va a medir que no altera la medida, pero es suficiente para dar una indicación (aunque muy áspera), por ejemplo, de su dirección. Recurriendo a esta técnica ya se han obtenido diferentes resultados que parecen corroborar la hipótesis de Ozawa, quien aparece confirmado por esta serie de experimentos. Rozema y sus colegas han llevado a cabo mediciones de la debilidad de otras dos cantidades que están sujetas al principio de indeterminación, las relativas a los estados de polarización de un fotón en dos ejes diferentes. Durante los experimentos, que se repiten con un gran número de fotones, los investigadores realizaron dos mediciones débiles y, por tanto, una medida exacta del primer estado de polarización para ver si había sido perturbado por la segunda medición. La comparación de los resultados parece que la perturbación inducida por la medición es menor de lo que requeriría la alteración relacionada con la exactitud expresada por el principio de Heisenberg. Los autores llegan a la conclusión que existe algo más sutil que causa la indeterminación que no tiene nada que ver con la imposibilidad de medir experimentalmente las variables en juego. Estamos llegando a entender que no hay indeterminación, si no la creada por nuestra propia adquisición de Consciencia. También hay que señalar que recientemente algunos físicos han encontrado energías negativas, logrando temperaturas por debajo de cero absoluto a un centenar de átomos de potasio. Tener energía negativa en la teoría de la Energía de Punto Cero (Zero Point Energy) es destruir la indeterminación de Heisenberg, porque en la transición entre positiva y negativa aparecen las variaciones energéticas entre los fotones y los antifotones.
http://www.fisica.uniud.it/~ercolessi/MQ/mq/node14.html
El nivel de energía más bajo (el estado fundamental) tiene una energía finita
llamada energía de punto cero y típica del sistema cuántico. Su existencia se debe al principio de indeterminación. Suponemos que la energía total es del orden de
donde
y son medidas de la dispersión típica de la cantidad de impulso y de la posición de la partícula. El principio de indeterminación nos dice que
de la que podemos extraer
y minimizando la energía respecto a
se obtiene que
de dónde
Si la energía mínima es nula, habremos determinado exactamente o la posición o la cantidad del impulso, en contradicción con el principio de indeterminación. El estudio del extraño comportamiento de los sistemas a temperaturas negativas, observado por Schneider y sus colegas, también podría ser útil en la creación de nuevos modelos cosmológicos, y para comprender mejor el comportamiento de la energía oscura, la fuerza misteriosa que se supone que contrarresta la fuerza de gravedad , actuando como un motor de la expansión.
El efecto Casimir es un efecto cuántico macroscópico postulado por su descubridor y verificado experimentalmente. El efecto se basa en encerrar algunas partículas subatómicas en una caja muy estrecha. Cuando se acercan las paredes de la caja, las partículas aumentan su velocidad y energía oscilando con frecuencias más altas. Esto produce que las partículas que permanecen en la caja se ven obligadas a tener mayor velocidad que las de fuera. El resultado final es que las partículas desaparecen de la caja y reaparecen fuera de esta. Por debajo de un micrón de ancho de la caja no contiene ni siquiera los fotones que no superen la velocidad de la luz atravesando un hipotético efecto túnel, pasan a través de la pared semipermeable de la caja cuantísticamente y el paso se lleva a cabo a velocidades translumínicas.
De esta experiencia se aprenden muchas cosas, incluyendo que las barreras cuánticas son semipermeable o semitransparentes y se pueden pasar por el medio, bajo ciertas condiciones. Pasar a través, sin embargo, es un término obsoleto para la física Bohm que considera que el universo no es local, donde la diferencia entre el exterior y el interior es muy delgada. Pero incluso si esto fuera así, uno se pregunta ¿por donde pasa el fotón? Y entonces, ¿cómo puede superar la velocidad de la luz que, técnicamente, no se podía superar? La respuesta, por supuesto, la física cuántica, no la sabe dar. Este mecanismo también está relacionada con el fenómeno del desplazamiento de electrones de un orbital atómico a otro, cuando la geometría de los orbitales permite dicho paso. Este efecto se basa en toda la reactividad de los compuestos químicos cuando crean una unión molecular. ¿Por dónde pasa el electrón orbital "p" que viene diseñado con sus dos lóbulos separados el uno del otro?.
Ciertamente, no pasa a través del núcleo del elemento químico ya que el espacio del núcleo es tan pequeño que si un electrón se encontrara en el núcleo superaría la velocidad de la luz atrapando al espacio-tiempo.

Pongo este ejemplo no para complicar la vida con problemáticas que parecen lejos de nuestro objetivo final, sino para entender cómo utilizamos herramientas de uso diario y teorías que son totalmente imperfectas, incompletas, erróneas, aproximadas, como la función de onda que describe orbitales atómicos de Shrödinger.
La fuerza de Casimir por unidad de superficie (Fc/A), en el caso ideal de placas metálicas perfectamente conductoras entre las que se hace el vacío, se calcula como :
Fc/A = -ℏcπ2/240 α4 p = hc/α4804
dónde
ℏ = h/2π

"ℏ" es la constante barrada de Planck, "c" es la velocidad de la luz, "a" es la distancia entre las dos placas, "A" es el área de las placas.
El valor de la fuerza es negativa e indica que su naturaleza es atractiva : la densidad de energía disminuye, de hecho, acercándo las placas. La explicación de este fenómeno estaría dada por el hecho de que, no habiendo más partículas virtuales hacia el exterior de la caja mientras que dentro sólo quedan fotones (que, por otra parte, van a desaparecer desde el interior), la presión externa es mayor que la interior y las dos placas, que representan las paredes del contenedor fotónico, se "atraen", literalmente, entre ellas.
http://arxiv.org/abs/quant-ph/0702061
Las paredes de la caja, sin duda no se atraen entre sí debido a la gravedad newtoniana sino debido a la energía del punto cero, según la cual el espacio-tiempo estaría impregnado de partículas virtuales interminables que nacen y son reabsorbidas por el tejido del espacio-tiempo en presencia de su otra antipartícula. Así que en la caja de Casimir las partículas desaparecen porque son absorbidas por el tejido del espacio-tiempo que está presente como virtual. En ese contexto, las partículas virtuales a las que nos referimos, son fotones. Hay como de costumbre ese pequeño problema que hace que la energía de punto cero no puede convertirse en cualquier cosa, ya que iría en contra del principio de indeterminación de Heisenberg (es intuitivo imaginar que cuando la distancia entre las paredes de la caja es cero, la fuerza ejercida es infinita, con el signo menos, y entonces la energía correspondiente sería cero). También hay problemas cosmológicos relacionados con la energía de punto cero. En el último período de 1998 se observó, estudiando más de 40 supernovas, que la velocidad de expansión del universo se incrementó significativamente en lugar de disminuir. Hasta entonces se pensaba que el universo, a causa de la fuerza de la gravedad, estaba gradualmente ralentizándose después del Big Bang, para luego eventualmente detenerse y retroceder hacia un Big Crunch. Por contra al estudiar la luz de estas supernovas se pudo definir que la distancia entre ellas era de 10 a 15% superior al esperado. El universo estaría, por tanto, actualmente acelerando, y la explicación hipotética de este fenómeno sería la energía del vacío, que representaría la ''energía oscura" que jugaría el papel de la constante cosmológica.
http://it.wikipedia.org/wiki/Energia_del_vuoto
Es interesante notar como arquetípicamente, todas las veces que queremos poner en juego a los antifotones, los adjetivos que se utilizan inconscientemente recuerdan ese concepto. Se habla de la fuerza oscura, de materia oscura (dark matter), en el sentido de que no es visiblemente oscura, sino que no se conoce su aspecto.
Desde un punto de vista neuro lingüístico se puede deducir que el inconsciente humano, estando claramente al corriente de lo que está detrás de todo esto y que es la existencia del antifotón, verbalmente responde en un modo claro y limpio, pero la adquisición de Consciencia del hombre parece no tener en cuenta su incapacidad para leer y mirar dentro de sí mismo y ver su exterior y constatar que el interior y el exterior son la misma cosa.
Obviamente, desde el punto de vista conciencial, si el hombre es el creador del Universo, sabe exactamente como están las cosas pero no llega esta toma de adquisición de Consciencia, a la propia mente, apareciendo los errores lingüísticos actuales, tranformaciones gramáticales inprobables que, si se analizan desde un punto de vista concreto, podemos, psicoanalíticamente comprender, como todo lo que habla de antifotones, incluso si no queremos simplemente tenerlo en cuenta.
Pero ¿por qué perdernos en el espacio y en el tiempo una vez más hablando del efecto Casimir? Debido a que, como el resto de la física incomprendida, se convierte inmediatamente en comprensible si se tiene en cuenta la presencia del antifotón.
Si la caja de Casimir está llena de fotones virtuales, se nos aparecen, no sólo porque son la resonancia trás un efecto y un contra efecto.
Pero cuando vamos a juntar las paredes de la caja, los fotones virtuales tenderán a aumentar su energía por el efecto cuántico. En ese contexto los fotones virtuales vibrarán a una frecuencia más alta, provocando el alargamiento del eje de la energía que en lugar de fluctuar entre un valor numérico pequeño con signo positivo y negativo, fluctuará entre un valor siempre muy alto positivo y negativo (energía del fotón y del antifotón). Al acercarse a la pared el fotón virtual de alta energía, se obtiene el mismo efecto que se obtiene cuando un fotón virtual golpea la pared de un metal (efecto Compton) interactuando con la materia.
En este contexto, sin embargo, los fotones virtuales están bloqueados en sus respectivas configuraciones fotónicas o antifotónicas y, como los antifotones son bloqueados como tales, vuelven al espacio-tiempo y fuera de la caja.
Una vez que los antifotones son puestos en libertad nuevamente comienzan a oscilar y volviendo a ser fotones virtuales indistinguibles (se produce un disimetrización del espacio-tiempo, con una disminución del valor entrópico de la energía (Ver la pág. 45).
La energía necesaria para este proceso se la pone el operador al tratar de meter en un espacio demasiado angosto los fotones virtuales. Obviamente, la energía de punto cero se convertirá en cero muchas veces, cada vez que un fotón se interconvierte en su antifotón y viceversa, porque el fotón virtual tendría igual valor energético, el de punto cero que es CERO, con la consecuente demolición de la indeterminación de Heisenberg y el aumento de la adquisición de Consciencia a nivel cósmico.
Una ulterior confirmación más de que las placas del efecto Casimir interactúan con fotones virtuales es el efecto Casimir dinámico, en el que son sustancialmente las paredes de la caja al moverse de un lado a otro a velocidades muy altas lo que repercute con los fotones virtuales que se convierten en fotones reales, iluminando el exterior de la caja.

La revista Scienze de 16 de febrero de 2013, "La luz que viene de la nada". El físico Pasi Lähteenmäki de la Universidad de Aalto, Finlandia, y sus colegas, han demostrado que mediante la variación de la velocidad a la que viaja la luz se puede hacer que aparezca de la nada.
Los científicos pueden influir sobre la velocidad de los fotones en un medio variando el índice de refracción, independientemente de si son fotones reales o virtuales. Lähteenmäki sostiene que este sistema puede ser similar a un espejo. Si el espesor de este espejo, cambia con la suficiente rapidez, los fotones virtuales que se reflejan, pueden recibir suficiente energía para convertirse en fotones reales durante el rebote. "Nos imaginamos que estamos en una habitación muy oscura y de repente el índice de refracción de la habitación cambia", explica Lähteenmäki. "La habitación comenzaría a brillar". Al comienzo de su experimento, Lähteenmäki y sus colegas, ponen en la nevera una serie de 250 dispositivos superconductores de interferencia cuántica (SQUID), los circuitos son extremadamente sensibles a los campos magnéticos.
Aplicando un campo magnético, los investigadores variaron en un pequeño porcentaje la velocidad de los fotones en la frecuencia de un microondas que atravesaba las filas.
Posteriormente, elevaron la temperatura del sistema 50 milésimas de grados Celsius por encima del cero absoluto. En estas condiciones de "superfrío" el sistema no debería emitir ningún tipo de radiación, actuando casi como el vacío. "Sólo queríamos estudiar estos circuitos para desarrollar un amplificador", afirma Sorin Paraoanu, físico teórico de la Universidad de Aalto.
Pero nos preguntamos : ¿qué pasaría si no hubiera nada para amplificar? ¿qué pasa si la señal está vacía?.
Como se ilustra en detalle en Actas de la Academia Nacional de Ciencias, y los investigadores detectaron fotones, de acuerdo con las predicciones del efecto Casimir dinámico. Por ejemplo, se esperaba que estos fotones mostraran extrañas propiedades de entrelazamiento : al medir las propiedades de un fotón, los científicos también pueden saber exactamente las propiedades de su contraparte, en cualquier parte del universo, un fenómeno indicado por Einstein cómo "acción fantasmal a distancia".
Este y otros estudios recientes muestran que el vacío no está realmente vacío sino lleno de fotones virtuales, explicó Steven Girvin físico teórico de la Universidad de Yale.
Estos sistemas podrían utilizarse para simular algunos escenarios interesantes. Por ejemplo, algunas teorías predicen que durante la fase de la inflación cósmica, los límites del universo temprano se expandieron a velocidades cercanas a la de la luz o incluso más.
Podríamos predecir la existencia de alguna radiación del efecto dinámico de Casimir producido en ese momento, y tratar de simular en el laboratorio, verificando así que no había inflación y que el Universo sólo es un holograma.
(Charles Q. Quoi scientificamerican.com 12 de febrero 2013).
Por lo tanto también en este caso, de la nada, surgiría un cierto número de Evideon que si escindimos en pares entrelazados de fotones y antifotones se van a convertir en los fotones virtuales entrelazados entre ellos.

Una vez más, es evidente como el universo explicado en clave Evideonica nos muestra más segura su propia naturaleza.
Cuando una teoría contiene otra que le precedió es definitivamente más válida porque tiene un carácter más general y explica todos los demás y explica más y aclara todos esos parámetros oscuros que, hasta ese momento, no encontraron respuesta.
Así, por ejemplo, la teoría de la gravitación de Newton fue absorbida por la relatividad general de Einstein y esta tendría que ser absorbida por la cuántica. Pero aquí algo inesperado sucedió.
La absorción por parte de la cuántica se estrelló cuando se trataba de la masa. Una teoría cuántica de la gravitación aún sigue luchando para tomar vuelo. No obstante la cuántica acepta que el fotón tiene un contenido energético que podría coincidir con el de una masa que se transforma en energía, no tienen la menor idea de cómo esta transformación puede tener lugar.
La hipótesis Evideonica, teniendo en cuenta la presencia del antifotón como una forma enantiomórfa (imagen especular) del fotón ha resuelto el problema.
En la estructura Evideonica hay todas esas cosas que se instalan rápidamente en la estructura de la materia subatómica, sosteniendo que sólo existen fotones virtuales con los que se construye todo.
Como se ve en Evideon y Evideon 2, la estructura de la materia hecha de fotones y antifotones, atrapados en su configuración geométrica, pone al descubierto la verdadera naturaleza de los leptones y los quarks.
Pero la relatividad general de Einstein se puede acomodarse fácilmente en el interior de la extructura de Evideon, así como la teoría del universo holográfico.
http://www.theepochtimes.com/n2/science/reality-illusion-1-26416.html
El universo es una ilusión donde los objetos, sombras, colores, sonidos, el espacio y el tiempo serían una proyección de un enorme holograma.
Un grupo de científicos en Hanover, Alemania, han hecho medidas trabajando con GEO 600, un instrumento que mide las ondas gravitacionales, y han visto que nuestro Universo sería granular, es decir, tiene una estructura holográfica en términos de espacio-tiempo. Desde 1990, dos científicos, Leonard Susskind y Gerald Hoft, sostienen que el universo es un holograma extrusionado (sección transversal definida) en el tercer eje de la energía (tres ejes : espacio, tiempo y energía).
Sería como decir que el universo se dibuja en un telón cinematográfico, donde un rayo de energía muestra todas las figuras haciendo que se conviertan en tres dimensiones. Cabe destacar que esto está completamente en línea con la idea Evideonica completa. El Evideon, recordamos aquí, es la representación de un plano espacio-temporal fijo donde sólo el eje de la energía oscila, dando la idea de que las cosas tienen masa y creando la gravedad.
Nuestro cerebro no sería capaz de discernir la naturaleza holográfica del universo. Basado en la investigación del neurofisiólogo Karl Pribram, fundador del Centro de Investigación Cerebral de la Universidad de Radford en Virginia, nuestros cerebros serían solamente unos lectores de hologramas, de acuerdo con la moderna física cuántica de Bohm.
http://www.dionidream.com/separazione-illusione-viviamo-in-universo-olografico/

El Evideon, es también una manera de ver la curvatura del espacio-tiempo como la teoría de la relatividad. El paradigma Evideonico pondría también de acuerdo a aquellos que dicen que no hay curvatura del espacio-tiempo y que obviamente la teoría de Einstein sería un error.
Para el Evideon la realidad del espacio-tiempo no se curva, pero se podría admitir una distorsión angular y no lineal, debido a que la longitud de los ejes de espacio y tiempo están vinculados por la constante de la velocidad de la luz. Los ejes de espacio y tiempo podrían inclinarse produciendo un fenómeno gravitacional ligado a la alteración del eje de la energía.
En pocas palabras, si el eje de la energía desciende por ejemplo en un fotón, para compensar este descenso y mantener una especie de centro de gravedad de la energía, los ejes de espacio, tiempo, antiespacio, y antitiempo, se inclinarían hacia arriba.

Lo interesante y que parece plausible, en la estructura Evideonica, calcular la máxima curvatura posible de los ejes utilizando números que representan los vectores de color utilizados en Evideon 2, para calcular, entre otras cosas, la constante de estructura fina del Universo.
De hecho, si el eje de la energía se reduce a un máximo de la mitad de su longitud (121,5 unidades naturales) los extremos de los cuatro vértices del espacio-tiempo deben alargarse hasta una cuarta parte de este valor (121,5/4 = 30,375); esto produciría una contracción del espacio-tiempo sobre el plano rígido espacio-temporal que puede calcularse en cuanto representa un cateto de un triángulo rectángulo, cuya altura es de 30,375 y una hipotenusa igual de la mitad de la longitud del plano espacio-temporal (324/2 = 162), igual a ((1622 - 30,3752)1/2) 159,1268, equivalente a una máxima distorsión del 1,8% del espacio-tiempo en la prespectiva que después de lo cual la estructura espacio-tiempo se rompería porque el Evideon perdería el eje de la energía potencial.
Es interesante notar como el círculo de radio 159,1268 tiene una circunferencia de 999,8 que parece mostrar cómo los números del Evideon son todos decididamente simbólicos pero sustancialmente múltiplos o dividores del Pi griego.
El escenario actualmente en boga espera que el Universo sea plano, como requiere la teoría inflacionaria, pero que existe sólo el 25% de la materia para alcanzar la densidad crítica, el restante 75% deriva de la energía del vacío expresada por la constante cosmológica. El Evideon no curva el espacio, pero establece que los ángulos de los ejes del plano espacio-temporal pueden doblarse.
No existe en física clásica ningún parámetro que indica una deflexión máxima a partir de la cual se debe romper el espacio-tiempo. Al menos con el Evideon usted podrían hacer predicciones.
Como sabemos los agujeros negros son objetos cósmicos especiales (pero no sólo), que tienen la característica de distorsionar el espacio-tiempo de la relatividad, asegurándose de que ni siquiera la luz puede escapar de su esfera de atracción. Los agujeros negros son indirectamente observables por la luz, es decir la información, no llega a nosotros si no es en modo indirecto. Nada sale del agujero negro y por lo tanto nadie tiene una idea de cómo se hizo la estructura interna de este objeto. Los agujeros negros se dividen en tres categorías : cargados, rotativos y estacionarios. Más allá de la posible presencia de carga, la diferencia entre un agujero negro estacionario y un agujero negro rotativo, se encuentra en la forma del horizonte de sucesos. El horizonte de sucesos es una zona alrededor del agujero negro, donde los fotones órbitan atrapados que no pueden escapar ni de la atracción del agujero negro ni caer al interior. La teoría clásica se remonta a los estudios de Swartzshild y más tarde Hawkin y Penrose. Según la idea de Hawkin, los agujeros negros deberían evaporarse con el tiempo, ya que, debido a la fuerte tensión gravitatoria, producirían una formación continua de materia y antimateria, que se elevaría hasta el horizonte de sucesos. La energía negativa de la antimateria, caería en el agujero negro aniquilándolo con el tiempo y la materia restante, viéndolo desde el espectador, sería expulsada del horizonte, dando la idea de que el agujero negro se evapora.
http://it.wikipedia.org/wiki/Radiazione_di_Hawking
Por el momento, nadie es capaz de poner a prueba esta hipótesis, de hecho, parece que el agujero negro simplemente ni siquiera se piensa que se evapore.
http://www.scienzaeconoscenza.it/articolo/i-buchi-neri-nonevaporano.php
Por lo tanto, todos los supuestos de Hawkin serían un error. En realidad hay algo correcto en lo que dicen los astrofísicos. Pero la única partícula virtual que viene a partir del caldo de la virtualidad es el Evideon. En ese contexto, el Evideon que surgen en el horizonte de los acontecimientos, se dividiría en fotones y antifotones entrelazados entre sí. Pero en ese momento la simetría del universo aparentemente sería destruida. De hecho, el agujero negro es un objeto que, como hemos dicho anteriormente, distorsiona el espacio-tiempo y el Evideon representa que disminuye el eje de las energías de tal manera que los cuatro semiejes de espacio y tiempo se someten a un cambio angular hacia lo alto. Esta variación de simetría produce una alteración de la entropía local, que tiende a disminuir y debe ser compensada por una variación igual y opuesta. Así, los fotones virtuales que surgen a partir del caldo de partículas virtuales (Evideon) pierden su simetría y ambos fotones y antifotones distorsionarán asumiendo una conformación en que los cuatro semiejes de espacio y tiempo se doblan hacia abajo y el eje de la energía fluye hacia arriba.

En otras palabras un gran Evideon distorsionado se compensa con miles de millones de fotones y antifotones todos distorsionados en la dirección opuesta. Estos fotones distorsionados representan una cáscara de antifotones con masa alta que orbitan alrededor del agujero negro, y ese es el horizonte de sucesos como una cáscara esférica (si el agujero negro no gira). Prácticamente tendría una cáscara sólida de fotones que han cristalizado en forma antifotónica para compensar la distorsión de la masa del agujero negro con muchas pequeñas antimasas. La masa del agujero negro sería igual a la masa negativa de la cáscara del agujero negro. La entropía del sistema sería nula y la simetría del universo se salva. Este tipo de agujero negro no emite, no se puede obtener información de su interior. Aparece como negro, porque lo que se ve es una cáscara de antifotones que cubre el núcleo de la estrella de neutrones. La luz, es decir, los fotones virtuales, que pasa el horizonte de sucesos (shell sólido), son interferenciados de lo que parece una curvatura del espacio-tiempo. El modelo de agujero negro en rotación prevee como de hecho espera la teoría, que el horizonte de sucesos no es esférico, sino que desaparece en los polos del cuerpo en rotación, construyendo un toroide.
http://www.slideshare.net/StefaniaPaoluzi/buchi-neri-34988606

Así que lo que "veríamos" (de hecho, no veríamos) del agujero negro es una gran masa de antifotones de masa elevada bloqueando la configuración antifotónica que constituye una pantalla a la estrella de neutrones. Este modelo de agujero negro, que no se evapora está de acuerdo con la hipótesis Evideonica del universo virtual. La consistencia del hecho de que no existe la posibilidad de tomar la información desde el interior del agujero negro, tiene una razón aún más apropiada. Cuando el científico se enfrenta a un antifotón su comprensión termina y su Consciencia impediría sin embargo entender qué hay detrás de algo que él cree que no existe. Este hecho crea a su alrededor un universo sin antifotones donde la indeterminación de Heisenberg no permite ir más allá en la adquisición de Consciencia.
En este punto es necesario algunas reflexiones sobre la verdadera naturaleza de la única cosa que existe en este universo y que es el Evideon, como productor de la realidad virtual dual en la forma de un holograma construido por fotones y antifotones en rápida oscilación entre ellos. De acuerdo con la visión de Bohm de la virtualidad cuántica, el tiempo no existe y la interpretación Evideonica de este concepto añade que en realidad el tiempo no existe porque el pasado es una rápida oscilación con el futuro, hacia una posición intermedia que representa el presente. Esta oscilación tiene una frecuencia de 1044 seg-1, y al ser bajo el tiempo de Planck, no está dada para darse cuenta de ello, ya que nuestro cerebro tiene un tiempo de relajación o decaimiento, en la percepción de los fotogramas de la realidad cuántica, por encima de este umbral.
Es como cuando vamos al cine no podemos ver lo que hay entre un fotograma y otro de la película.
Nuestro ojo en ese caso no puede percibir la separación entre los diversos fotogramas que aparecen erróneamente como un continuo espacio-tiemporal. Pero cuando entendemos que podemos ir por debajo de ese umbral debido al principio de indeterminación de Heisenberg somos derrotados por nuestra nueva adquisición de Consciencia, aquí definitivamente tenemos fenómenos sin duda interesantes como la clarividencia. Pero vamos a ver cómo considerar macroscópicamente la presencia de antifotones en nuestro universo virtual. Un hecho a nivel cosmológico que puede extender las consideraciones que hemos hecho hasta ahora en los modelos cuánticos microscópicos. Los objetos grandes tienen, de hecho, las mismas normas que los pequeños y sería un gran error pensar la evaluación de lo contrario después de todo lo que se ha dicho hasta ahora.
La adquisición de Consciencia está a veces delante de nuestras narices, pero nos molestamos con preguntas que, aunque parecen inusuales, nos hacen comprender como en realidad estaremos bien acostumbrados a preguntar acerca de la realidad circundante dando todo por sentado y confiar en lo que dice en los libros, sin mayor crítica.
La pregunta es : ¿dónde están los fotones que nos iluminan?
A primera vista podríamos decir que los fotones que nos iluminan desde el pasado. De hecho, nos llama la atención la luz que se inició hace millones de años de una estrella lejana o fotones que hace pocos microsegundos han partido de un poste de luz en la calle, pero es evidente que somos iluminados por los fotones, que la información, viene del pasado. En este contexto no estamos iluminados por los fotones procedentes del futuro, e incluso de aquellos que provienen del presente. En otras palabras vivimos constantemente en el pasado.
Pero esto es sólo la apariencia porque la física moderna nos dice que las ecuaciones de onda del pasado y del futuro se encuentran sólo en el presente, que es la única solución cuántica posible, donde las dos soluciones cuánticas del pasado y del futuro se superponen como probabilidad.
En ese contexto, como elegimos la solución, podríamos optar por vivir en el futuro o el pasado y veríamos solamente uno de los dos frentes de onda; pero vamos a crear el presente y lo hacemos, tenemos que confluir las dos funciones de onda en un sólo evento. En otras palabras, no nos damos cuenta de decidir ver el universo en modo no dual y percibiendo el espacio-tiempo en modo no dual. Cuando decidimos esto, las cosas parecerán de modo diferente y deberemos comprender que no es cierto que estemos iluminados por los fotones del pasado sino que estamos iluminados por fotones del presente.
¿Cómo se puede verificar este enfoque?
En primer lugar alguien nos podría contestar con la existencia de antifotones, ya que estaría de acuerdo con los cálculos y la previsión sobre la simetría de antifotones que vienen desde el futuro, retroceden en el tiempo e iluminan nuestro presente. En cambio, al parecer, no estamos iluminados por los fotones que mañana el Sol dará a luz.
Así que alguien podría decir que no existen los antifotones, ya que no se manifiestan. Pero el problema es, como siempre, la adquisición de Consciencia de los fenómenos que percibimos, y si no somos conscientes, no vemos lo que tenemos en nuestro alrededor.
Una respuesta interesante nos la da la llamada paradoja de Olbers.
Toma su nombre del astrónomo alemán Heinrich Wilhelm Olbers, que la propuso en 1826. En realidad ya había sido escrita por Kepler en 1610, por Richard Bentley en correspondencia con Newton y por los astrónomos Halley y Cheseaux en el siglo XVI.
Ahora volvamos a hablar de ello aquí. Olbers se pregunta ¿por qué no hay más luz por la noche que durante el día?
La pregunta puede hacerle sonreír, pero la paradoja tiene su lógica ya que está del todo sin resolver. Olbers dice que al ser las estrellas infinitas aunque cada una enviara un fotón a nuestro planeta, por la noche la luz del cielo debería ser tanta para no ser capaz de mirar hacia fuera de casa.
La luz en cambio no se nota apenas y en la noche tenemos oscuridad con modestas contribuciones de alguna estrella distante.
La ciencia no puede dar respuestas claras que cumplan plenamente todas las reglas de la física teórica en vigor.
Dos hipótesis pueden hacerse para explicar la paradoja :
En el primer caso, la luz de estrellas distantes aún no ha llegado a nosotros. Potencialmente en el futuro, tenderá a causar la condición expresada por la paradoja. Sin embargo, hay varios indicios de que el universo no es joven : su edad está entre 13 y 16 mil millones años, dependiendo del valor dado a la constante de Hubble. En el segundo caso, las estrellas se mueven lejos de la Tierra más y más, como se demuestra por el efecto Doppler, y entonces la condición de la paradoja nunca ocurrirá. En 1929 el astrónomo estadounidense Edwin Hubble demostró que el universo actual está en expansión y que, por lo tanto, debe haber tenido un origen en el pasado. Desde nuestro punto de vista, las galaxias parecen alejarse con una velocidad proporcional a la distancia, hasta un límite más allá del cual parecen escapar a la velocidad de la luz, y no podemos verlas. En otras palabras, ya que la luz tiene una velocidad limitada, mirar hacia el futuro significa también mirar hacia atrás en el tiempo, desde el punto en el que podemos observar el momento del nacimiento del universo, el Big Bang. En la práctica, el universo visible no parece de dimensiones limitadas en el espacio y el tiempo, de modo que la luz nos llega de un número limitado de las estrellas de tal manera que el cielo parece negro. La paradoja ya no es tal con la asunción de que la eternidad del cosmos es falsa. Incluso si todavía fuera infinito en el espacio, pero no con el tiempo, de acuerdo con la cosmología generalmente aceptada, para eliminar la paradoja de Olbers basta con el desplazamiento hacia el rojo : cuando los objetos están lo suficientemente separados, como decía antes, si superan la distancia que la luz podría haber viajado desde el Big Bang, su luz no llegará, pero si están más cerca, pero la velocidad de recesión es mayor que la de la luz, no llegará de todos modos. Así que si el universo es infinito en el espacio, no tendríamos la paradoja. El cosmólogo estadounidense Edward Robert Harrison sostiene que la solución a la paradoja no se encuentra en la expansión del universo, mientras un universo estático tendría un oscuro cielo nocturno. La solución de acuerdo con Harrison es que las estrellas brillan lo suficiente como para llenar todo el universo con su radiación.
http://it.wikipedia.org/wiki/Paradosso_di_Olbers
Así que hay muchas incertidumbres y todas estas teorías deben ser rechazadas si introducimos la idea del universo donde no hay lugar para el espacio y el tiempo están sólo el aquí y ahora. En este contexto, el universo no se expande, sino que será nuestra adquisición de Consciencia dinámica y siempre en constante cambio en una dirección (ver el segundo principio de la termodinámica) producirá una variación aleatoria en una dirección, la percepción que produce la virtualidad (el universo no se expande, sino nuestra adquisición de Consciencia).
Si tenemos en cuenta la estructura Evideonica de nuestro universo virtual, fractal y holográfico, no local, entendemos que, entonces seremos informados e iluminado solamente por los fotones procedentes de nuestro propio presente. Admitimos que de hecho hay fotones y antifotones y admitamos que existe el tiempo como viene percibido en el interior de nuestra virtualidad (recordar que fuera del universo es imposible tener percepción del tiempo, como lo demuestran los experimentos de óptica cuántica hechos en el INRIM ). Vivimos el presente y para nosotros son los fotones del pasado y los antifotones del futuro. Chocan en el presente y se anulan entre sí por completo. Los únicos fotones y antifotones que no se cancelan son aquellos que interactúan con un objeto. Los objetos son lugares de los puntos en los que los fotones y antifotones iluminan la materia que vemos. En esta visión parcial y temporal virtual, los antifotones no serían perceptibles por nosotros para casi nada debido a la dificultad que tienen en la interacción con la materia (al contrario que ocurre con la antimateria donde se convierte en poco probable su interacción con la energía del fotón) . Pero esto sigue siendo un punto de vista simplista, porque en realidad no hay tiempo y por lo tanto los fotones no vienen del pasado y los antifotones no vienen el futuro sino del Evideon de la nada del espacio virtual. En ese contexto interactuando con el objeto que encuentro iluminado.
Pero esto equivale a decir algo bastante interesante. Debemos hacernos otra pregunta :
¿Es la luz que ilumina un objeto la que hace que sea evidente que existe un fotón que interactúa con un objeto que muestra? o ¿es el objeto que se convierte en existente, ya que es iluminado/creado? : ¿esto es evidente desde que se creó en ese momento por los fotones? En otras palabras, ¿una cosa es visible porque es real o es real y por lo tanto se hace visible?
La respuesta es muy fácil porque sabemos que, en el mundo virtual, no existe la dualidad y la causa y el efecto es el mismo evento. Pero ahora todo lo que queda es una única solución.

Las cosas son creadas por la luz y no es la luz la que se muestra de las cosas. Pero esto significa que no sólo nosotros somos los creadores de las cosas : somos nosotros los que, desde el mar de partículas virtuales (Evideon), formamos a continuación, en un eterno presente, por lo tanto, todo lo que vemos y sentimos, con todos nuestros sentidos. Ya no es la vieja forma de percibir el pasado y el futuro como dos direcciones que se alejan de nosotros, sino más bien que creamos con nuestro pasado y futuro, nuestro presente.
Creamos lo virtual a través de los fotones virtuales que son el espejo de nuestra adquisición de Consciencia.

Concepción arquetípica del tiempo Concepción no local del tiempo Evideonico
Entendemos de esta manera que la paradoja de Olbers se resuelve de golpe fácilmente mediante el establecimiento de un acuerdo, todas las hipótesis científicas que van desde la relatividad a la cuántica.
Recientemente físicos han demostrado que la antifotón no es igual al fotón y que los leptones tienen una estructura interna. Pero también han demostrado que la helicidad del antifotón calculada sobre la base de la existencia del antiátomo de hidrógeno, no permite, al antifotón interactuar con la materia, así como el fotón no puede interactuar con la antimateria, coincidiendo con lo que había postulado la mecánica cuántica del Evideon. (W. Perkins, "The Antiparticles of Neutral Bosons," Journal of Modern Physics, Vol 4 No. 12A, 2013, pp 1219. doi: 10.4236/jmp.2013.412A1003).
De hecho en inglés "scura" y "oscura" se traducen como "oscura" y "desconocida". El término "oscuro" en inglés significa "desconocido" o es sinónimo de incertidumbre, de la poca comprensión de la observación. Así, el término se reinterpretó porque los físicos italianos creen que la materia oscura se une a la idea de que hay una materia en el espacio debido al hecho de que no es visible, que es transparente a nuestra percepción; lugar físico originario del significado anglosajón del término "oscuro" un significado diferente. Significa desconocido. El idioma Inglés es realmente maravilloso para escribir un artículo científico, pero cuando se trata de traducir al italiano aquí es donde los significados se pierden en diferentes cantidades de palabras que nuestra lengua es más pobre que los más pobres de habla Inglés. A expensas de los científicos italianos que a menudo tienen poco conocimiento de la lengua italiana, pero la mayoría se sienten cómodos con el lenguaje de las matemáticas. Vemos, pues, el uso de traducciones científicas improbables. Por ejemplo, en todos los libros de química se indica que hay un análisis elemental para determinar el porcentaje de los elementos en un compuesto químico. Bueno, el análisis elemental nunca ha existido. En todo caso, no es el análisis elemental, es decir, los elementos, desde el inglés "analisis elementales y analisis no ELEMENTAR". En doscientos años de química italiana ningún químico nunca ha notado este error de traducción.
Así que no es de extrañar que incluso en el caso de la física moderna, el término "materia oscura" hay a un nivel léxico, una gran confusión.
Así que para la gramática transformacional, bajo la rama de la Programación Neuro Lingüística, si hay poca adquisición de Consciencia en la terminología en una cosa, usted no tiene claridad sobre el mapa del territorio, lo que lo distingue. En otras palabras, nadie ha entendido nada de la materia oscura.
Se trata siempre de verificar la observación de un fenómeno y filtrarlo a través de nuestra adquisición de Consciencia.
Se argumenta por muchos que la materia oscura consistiría en fotones oscuros. ¿Pero cuáles son los fotones oscuros es, obviamente, algo muy oscuro, a menos que considere la idea del antifotón.
http://milesmathis.com/updates.html
Miles Mathis y Tim Tate de la UC de Irvine, dos físicos estadounidenses, apoyan la existencia de fotones oscuros pero tienen sustancialmente diferentes ideas acerca de su naturaleza. Para Tate la materia oscura se compone de fotones sin masa en rotación sobre sí mismos. Para Mathis como materia oscura representa el 95% de toda la materia no puede argumentar que no es de gravedad ya que este no se reconcilia con los cálculos de la mecánica cuántica de QED (electrodinámica cuántica). Los fotones no giran alrededor de su eje sino que giran alrededor del electrón gravitacionalmente por las cargas. La carga del fotón se ve a continuación aceptada y dispuesta de modo que sea imposible de medir, pero para producir efectos gravitacionales de la materia.

Leyendo este trabajo no se puede dejar de notar que trata de construir un fotón con elementos de asimetría que el fotón virtual no posee, pero que son necesarios para obtener datos experimentales que observamos. La rotación de un fotón se vuelve tan importante y se puede ilustrar en el fotón Evideonico, el cono que identifica la constante de estructura fina del Universo, que mencionamos en Evideon 2. El cono azul cuya base tiene una circunferencia de valor promedio de 137 ( inversa de la constante de estructura fina del Universo, relacionado con Pi griego y con la sección áurea y las dimensiones del Evideon), y en rápida precesión alrededor de su eje principal. En el antifotón esta rotación se invierte.

En un intento por capturar los fotones experimentalmente oscuros, Matt Graham de SLAC National Accelerator Laboratory, en un intento de aclarar la posición de la ciencia actual, muestra cuántas son las formas de llamar a los fotones oscuros que se atraían como partículas A', Bosones U, Fotones pesados pero que son sustancialmente iguales. El misterio de estas partículas es abordado por varios enfoques teóricos.
Básicamente, los investigadores están de acuerdo en decir que algo que define Bosonos Up partícula A' se desintegra en dos pares de electrones y positrones que tal vez se pueden producir a partir de un cañón de electrones (electrón Beam) que dispara rayos gamma, es decir, los fotones de alta energía y, como hemos visto anteriormente, capaces de interactuar con la materia, y en particular sobre un electrón, de acuerdo con un esquema del tipo siguiente :


Siguiendo este esquema se entiende como el fotón oscuro es algo misterioso que se formaría mediante el bombardeo electrones de rayos gamma, como sucede en el efecto Compton y vamos a ver cómo se forman los productos de desintegración de algo misterioso, que consiste en una dos pares de electrones positrones.
Investigadores
Han demostrado que aguas arriba de la decadencia de los pares de electrones antielectrones existir un mesón que las producen. En analogía con estas hipótesis, Anche Douglas Bryman (New Light Shed on Dark Photons University of British Columbia, Vancouver, Columbia British Columbia V6T2A3, Canadá Published November 10, 2014), establece que, aguas arriba de la emisión de dobles electrones antielectrones, hay un mesón cuya formación, es el punto, no conocido, pero que se supone de diversas maneras.
Obviamente, también en este caso, si se supone la existencia del antifotón, entendiendo que esto escapa a la física moderna, donde en este proceso, la única cosa oscura que existe es la formación de antifotones de baja energía que se manifiestan con una pequeña masa pero que son llamados, fotones pesados.
Seguimos el curso de la transformación del par electrón positrón hacia atrás postulando que un electrón (un leptón) está constituido por un fotón oportunamente ligado a un antifotón y donde su imagen de espejo es el positrón o antielectrón.

En realidad este proceso que viene descrito por Bryman, por razones de la conservación de la simetría CPT (Carga, Paridad y Tiempo) debe ser sólo la mitad de lo que está sucediendo, es decir, tiene que haber dos pares electrón positrón que dan dos electrones y dos positrones, con la formación intermedia de un elusivo antifotón. Si se pregunta por qué obviamente se puede ver que, si no se duplica el proceso, las cosas no cuadran. De hecho, si un electrón y un positrón se encuentran y eliminan un fotón, son tres unidades fotónica que pueden dar solamente un electrón y un fotón o un positrón y un antifotón (de acuerdo con la visión Evideonica). (Ver Apéndice 2).
Así que si reescribimos el proceso desde un punto de vista Evideonico, tenemos dos pares electrón positrón que colisionan en modo inverso el uno con el otro. En otras palabras, en el primer caso, un electrón colisiona con un positrón mientras que en el segundo caso ocurre lo contrario (que para la simetría que gobierna el Evideon no es el mismo). O podemos decir que desde el punto de vista estadístico, este impacto, tiene una probabilidad del cincuenta por ciento de posibilidades de tener un quark y un antifotón o un antiquark y un fotón (Ver Esquema siguiente).
El quark y el antiquark se acoplan entre sí inmediatamente para tener un mesón (el quark no puede ser generado por sí mismo sólo a causa de la geometría Evideonica, como también está confirmado por la física del modelo estándar). El sucesivo colapso del fotón y la parte antiquark del mesón proporciona un par de electrones, mientras que la colisión concomitante entre el antifotón y el restante quark proporciona un par de antielectrones. Por lo tanto, no se formaría un par de electrones positrones, sino un par de electrones y un par de positrones que, además, dan el mismo resultado final indistinguibles, que se justifica porque el proceso de formación de los productos finales se duplica para preservar la estructura y la geometría de las piezas en el juego. Los pasos se resumen en el siguiente esquema.
Como se observa en el gráfico siguiente, la simetría de todo el proceso parece respetarse, y la única cosa oscura que aparece invisible a los investigadores, sólo porque no se tuvo en cuenta, es la producción de un antifotón (que es la parte oscura de todo el proceso). Los dos procesos paralelos son enantiomorfos (uno es la imagen especular del otro y por lo tanto tienen la misma energía. El proceso es rápido y está por debajo del tiempo de conversión del fotón a antifotón en los fotones virtuales. Para que esto suceda los fotones y antifotones que se forman deben tener baja energía y masa muy baja que es lo que corresponde en el modelo Evideonico decididamente corto. Por eso a veces se habla de fotones que tienen masa no nula. Veremos enseguida que, de acuerdo a la masa que la unidad fotónica posee, el tiempo de interconversión del correspondiente antifotón puede variar, por lo que en algunos casos, los antifotones, lo suficientemente estables pueden ser utilizados antes de la interconversión en fotones virtuales.

La luz oscura se considera la fuente de un universo invisible que tiene que ver con la materia oscura.
http://www.symmetrymagazine.org/article/december-2014/searching-for-adark-light
El compromiso con los antifotones es muy acertado. Parece que los físicos no pueden usar el término antifotón porque su libro dice que los antifotones y los fotones son la misma cosa y por temor reverencial de urtar la irascibilidad de la NORMA, intentan eludir el término antifotón camuflándolo con el término fotón oscuro (dark photon). Ahora la nueva física viene con el descubrimiento de muchos antiquarks, muchos antifotones y muchos antigluones (que ya hemos postulado en Evideon, Ed. Spazio Interiore).
http://www.journaloftheoretics.com/Articles/6-6/str.aqA.pdf
Los estudios del Fermilab proponen, para la formación de la materia oscura (dark mater), un esquema decididamente similar al nuestro, donde quarks y antiquarks serían los precursores del bosón W que posteriormente producen la partícula exótica (llamada Susy) que proporcionarían los fotones oscuros, como se describe en su esquema.

http://www.fnal.gov/pub/today/archive/archive_2009/today09-06-25.html.